Press Release
Free Access

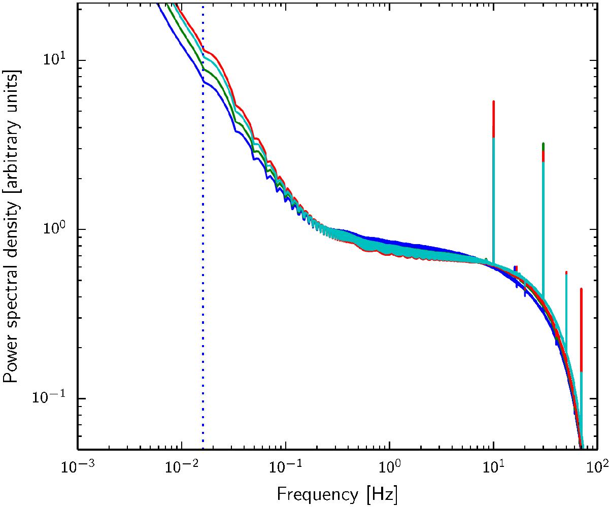
Fig. 1

image

Mean power spectra of the signal-subtracted, time-ordered data from Survey 2 for each polarization-sensitive HFI frequency channel. The spectra are normalized at 0.25 Hz. Blue, green, red, and cyan represent 100, 143, 217, and 353 GHz, respectively. The vertical dashed line marks the spacecraft spin frequency. The sharp spikes at high frequencies are the so-called 4-K cooler lines. These noise spectra are built before the time transfer function deconvolution.

Current usage metrics show cumulative count of Article Views (full-text article views including HTML views, PDF and ePub downloads, according to the available data) and Abstracts Views on Vision4Press platform.

Data correspond to usage on the plateform after 2015. The current usage metrics is available 48-96 hours after online publication and is updated daily on week days.

Initial download of the metrics may take a while.