Press Release
Free Access

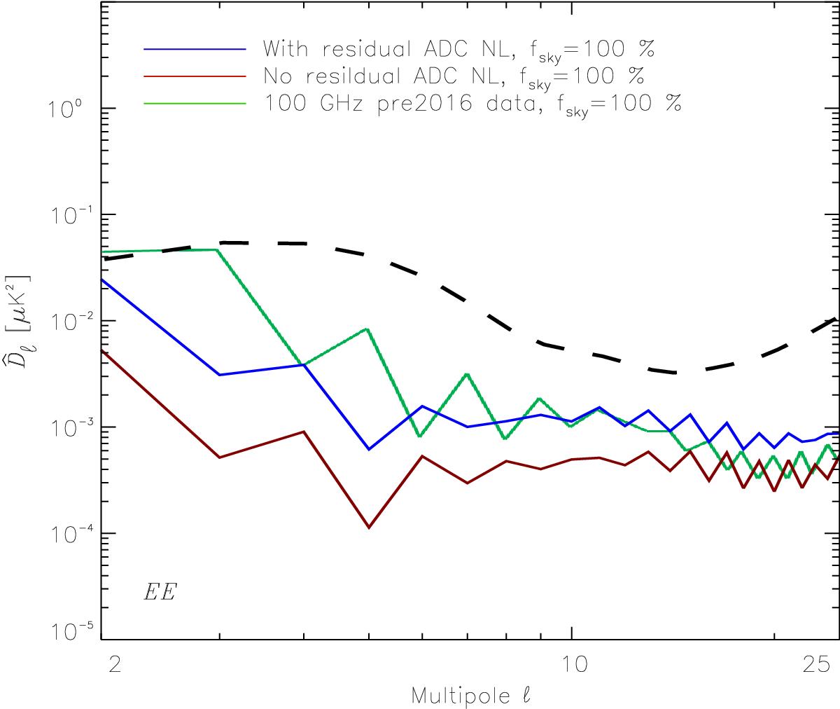
Fig. 15

image

Simulation of the template-fitting tests for temperature-to-polarization leakage in the 100-GHz maps, with (blue) and without (red) ADC-non-linearity dipole distortion. The green curve shows the result of the leakage fit in the HFI pre-2016 data, which is comparable to the simulation with the ADC non-linearities. The red curve is lower by a factor of 5 or more, showing that dipole distortions due to ADC non-linearity are a significant contributor to the leakage. The black dashed line corresponds to the fiducial model F-EE with τ = 0.066.

Current usage metrics show cumulative count of Article Views (full-text article views including HTML views, PDF and ePub downloads, according to the available data) and Abstracts Views on Vision4Press platform.

Data correspond to usage on the plateform after 2015. The current usage metrics is available 48-96 hours after online publication and is updated daily on week days.

Initial download of the metrics may take a while.