Press Release
Free Access

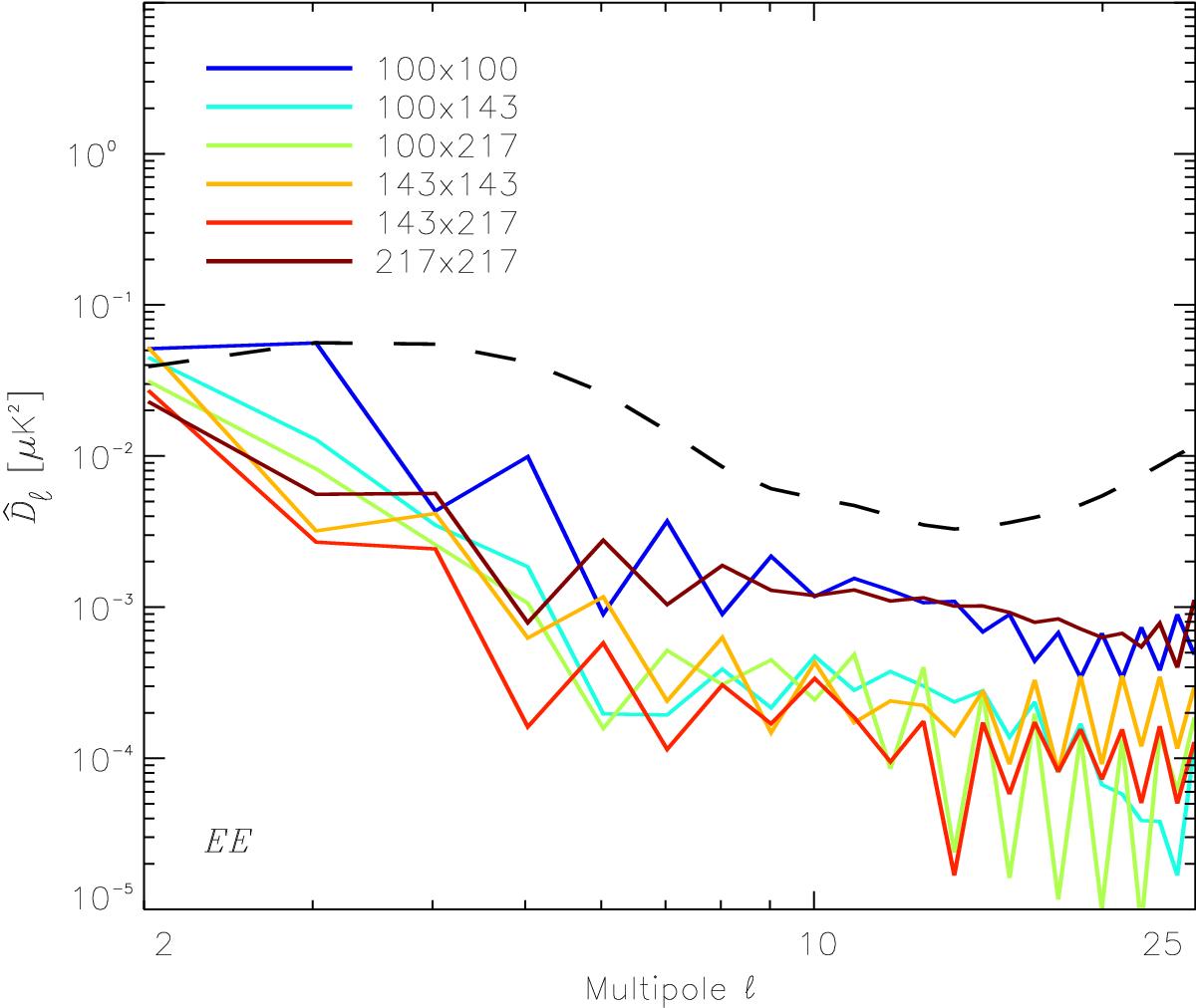
Fig. 16

image

EE auto- and cross-spectra of the global fit test of the temperature-to-polarization leakage, for 100, 143, and 217 GHz. Levels are similar to that for 100 GHz, for which Fig. 15 shows that this is dominated by the ADC-non-linearity dipole distortion. The dashed black line corresponds to the fiducial model F-EE with τ = 0.066.

Current usage metrics show cumulative count of Article Views (full-text article views including HTML views, PDF and ePub downloads, according to the available data) and Abstracts Views on Vision4Press platform.

Data correspond to usage on the plateform after 2015. The current usage metrics is available 48-96 hours after online publication and is updated daily on week days.

Initial download of the metrics may take a while.