Press Release
Free Access

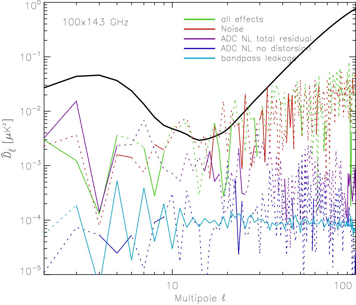
Fig. 31

image

Similarly to Fig. 17, residual EE cross-power spectra of systematic effects from the HFI pre-2016 E2E simulations computed on 50% of the sky are shown for 100 × 143. Dotted lines are used to join two multipoles when one is negative.

Current usage metrics show cumulative count of Article Views (full-text article views including HTML views, PDF and ePub downloads, according to the available data) and Abstracts Views on Vision4Press platform.

Data correspond to usage on the plateform after 2015. The current usage metrics is available 48-96 hours after online publication and is updated daily on week days.

Initial download of the metrics may take a while.