Press Release
Free Access

Fig. A.1

image

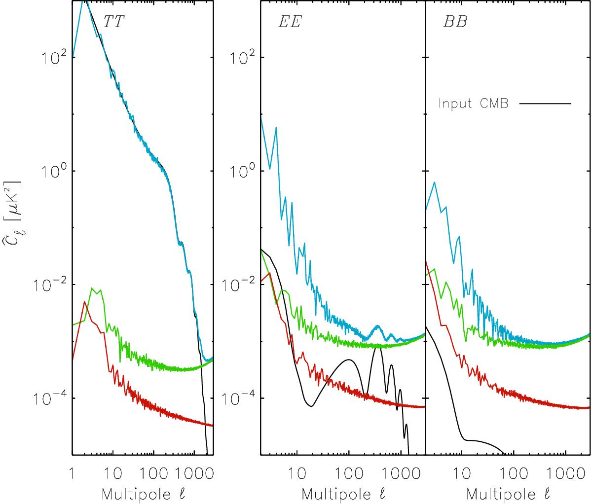
Estimated contribution of glitch residuals to auto-power spectra for simulations of the 143-detset1, with the F-EE model in black. The red curve shows the evaluation of the power spectra of the difference of maps of simulations with and without glitch-deglitch removal. Spectra here are averaged over four realizations. The blue curve shows the spectra after processing for the simulated signal, with all systematic effects included. The green curve is the auto-power spectra of half ring differences, dominated by noise at high mutlipoles and by glitches at low multipoles.

Current usage metrics show cumulative count of Article Views (full-text article views including HTML views, PDF and ePub downloads, according to the available data) and Abstracts Views on Vision4Press platform.

Data correspond to usage on the plateform after 2015. The current usage metrics is available 48-96 hours after online publication and is updated daily on week days.

Initial download of the metrics may take a while.