Press Release
Free Access

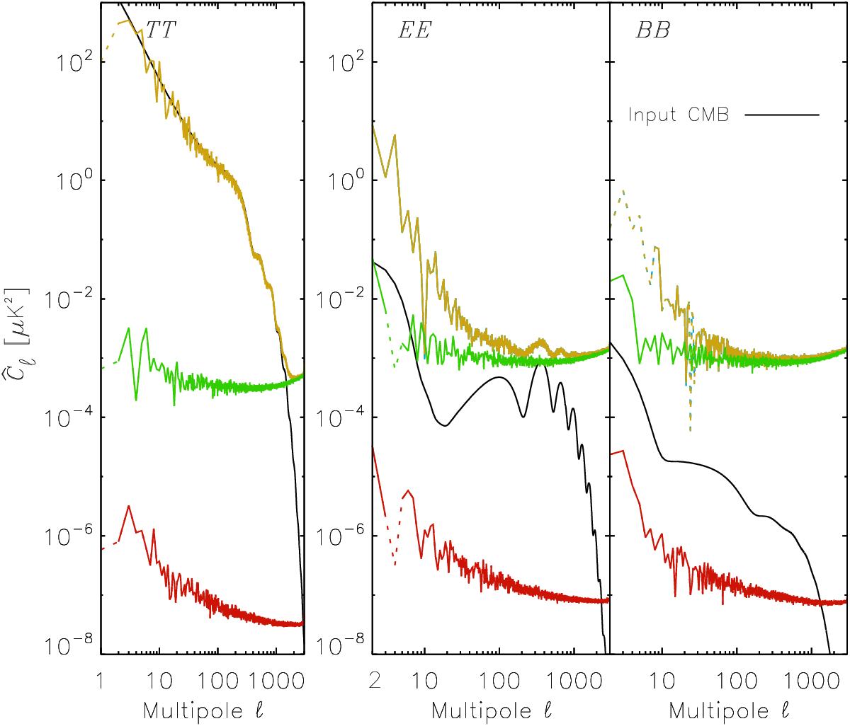
Fig. A.2

image

Simulated contribution of warm readout electronics drifts on the auto-power spectra of 143-detset1. The red curves show the contribution of the electronics drift compared to the total map power (orange) and the F-EE input to the simulations (black). The green curve is an estimate of the noise level based on the half-ring differences.

Current usage metrics show cumulative count of Article Views (full-text article views including HTML views, PDF and ePub downloads, according to the available data) and Abstracts Views on Vision4Press platform.

Data correspond to usage on the plateform after 2015. The current usage metrics is available 48-96 hours after online publication and is updated daily on week days.

Initial download of the metrics may take a while.