Press Release
Free Access

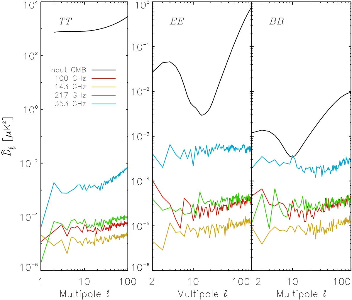
Fig. B.5

image

Power spectra of the differences between maps made from TOI including the CMB, and maps made from TOI including only noise and systematics with the same CMB added to the map. In this simulation run, the CMB power spectra are set to F-EE.

Current usage metrics show cumulative count of Article Views (full-text article views including HTML views, PDF and ePub downloads, according to the available data) and Abstracts Views on Vision4Press platform.

Data correspond to usage on the plateform after 2015. The current usage metrics is available 48-96 hours after online publication and is updated daily on week days.

Initial download of the metrics may take a while.