Press Release
Free Access

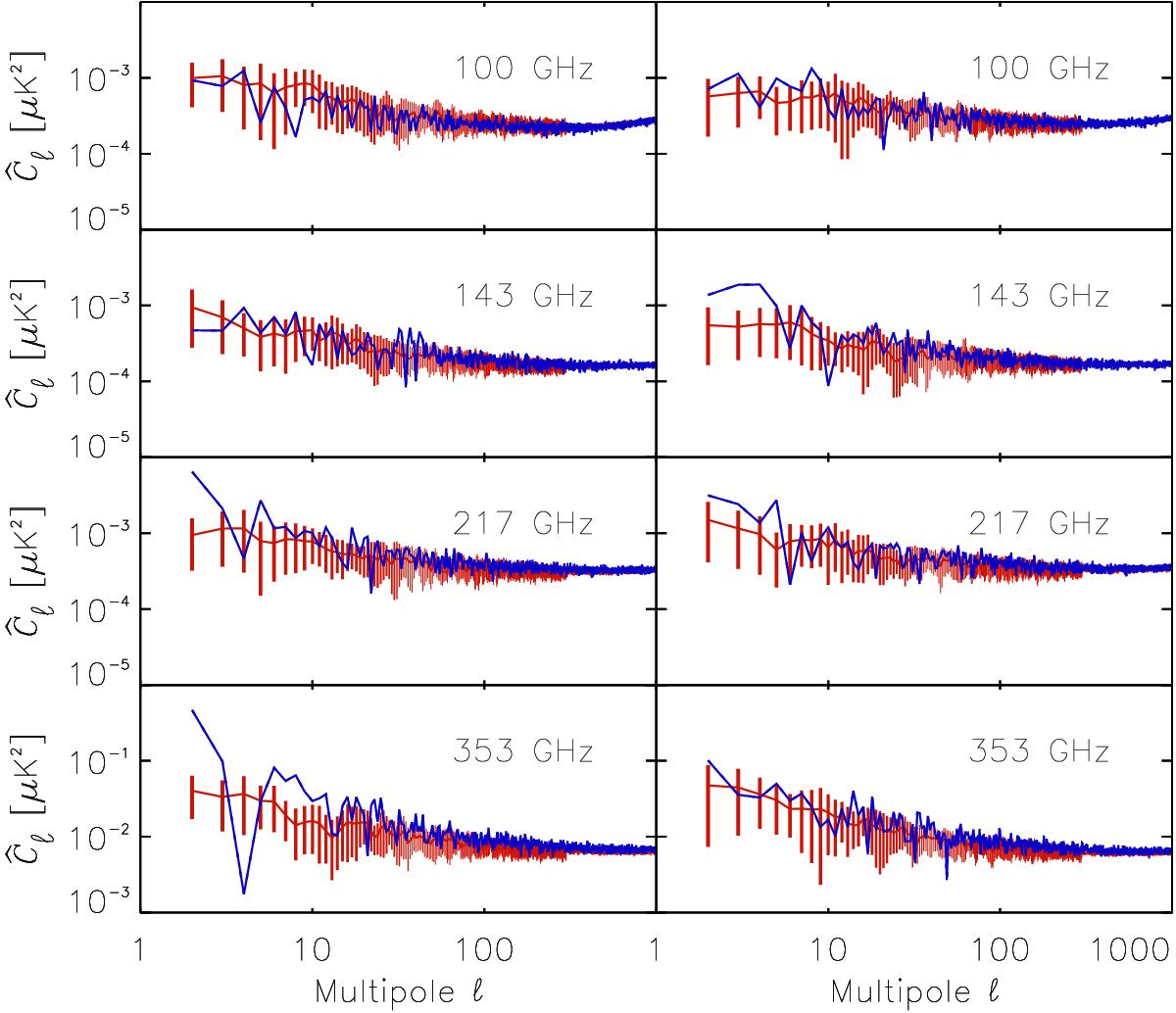
Fig. B.17

image

Power spectra of null tests on detsets (left column) and half missions (right column). The data are shown in blue and the mean and standard deviation from simulations containing noise alone are shown in red.

Current usage metrics show cumulative count of Article Views (full-text article views including HTML views, PDF and ePub downloads, according to the available data) and Abstracts Views on Vision4Press platform.

Data correspond to usage on the plateform after 2015. The current usage metrics is available 48-96 hours after online publication and is updated daily on week days.

Initial download of the metrics may take a while.