Press Release
Free Access

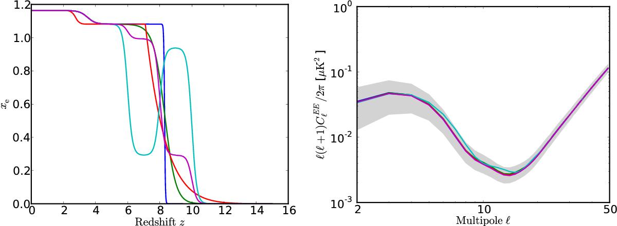
Fig. 4

image

Left: evolution of the ionization fraction for several functions, all having the same optical depth, τ = 0.06: green and blue are for redshift-symmetric instantaneous (δz = 0.05) and extended reionization (δz = 0.7), respectively; red is an example of a redshift-asymmetric parameterization; and light blue and magenta are examples of an ionization fraction defined in redshift bins, with two bins inverted between these two examples. Right: corresponding EE power spectra with cosmic variance in grey. All models have the same optical depth τ = 0.06 and are essentially indistinguishable at the reionization bump scale.

This figure is made of several images, please see below:

Current usage metrics show cumulative count of Article Views (full-text article views including HTML views, PDF and ePub downloads, according to the available data) and Abstracts Views on Vision4Press platform.

Data correspond to usage on the plateform after 2015. The current usage metrics is available 48-96 hours after online publication and is updated daily on week days.

Initial download of the metrics may take a while.