Free Access

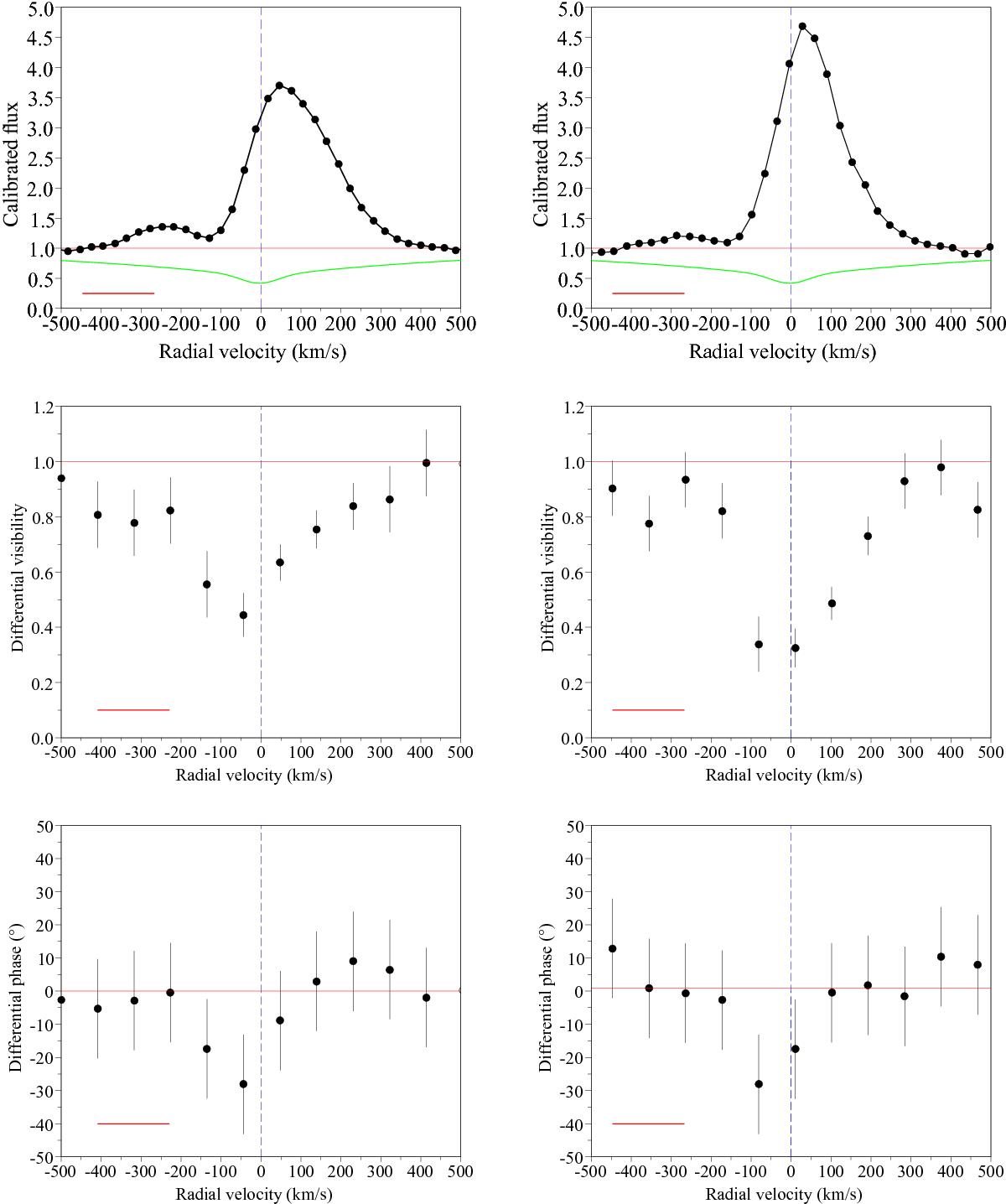
Fig. 2

image

VEGA data recorded on 2010 October 17 (left) and on 2012 September 21 (right). Top: Hα emission line of AB Aur (symbols) and photospheric absorption model (green line). Middle: differential visibilities. Bottom: differential phases. The spectral bin used to compute visibilities and differential phases is represented by the red line in the bottom corner of each panel.

Current usage metrics show cumulative count of Article Views (full-text article views including HTML views, PDF and ePub downloads, according to the available data) and Abstracts Views on Vision4Press platform.

Data correspond to usage on the plateform after 2015. The current usage metrics is available 48-96 hours after online publication and is updated daily on week days.

Initial download of the metrics may take a while.