Free Access

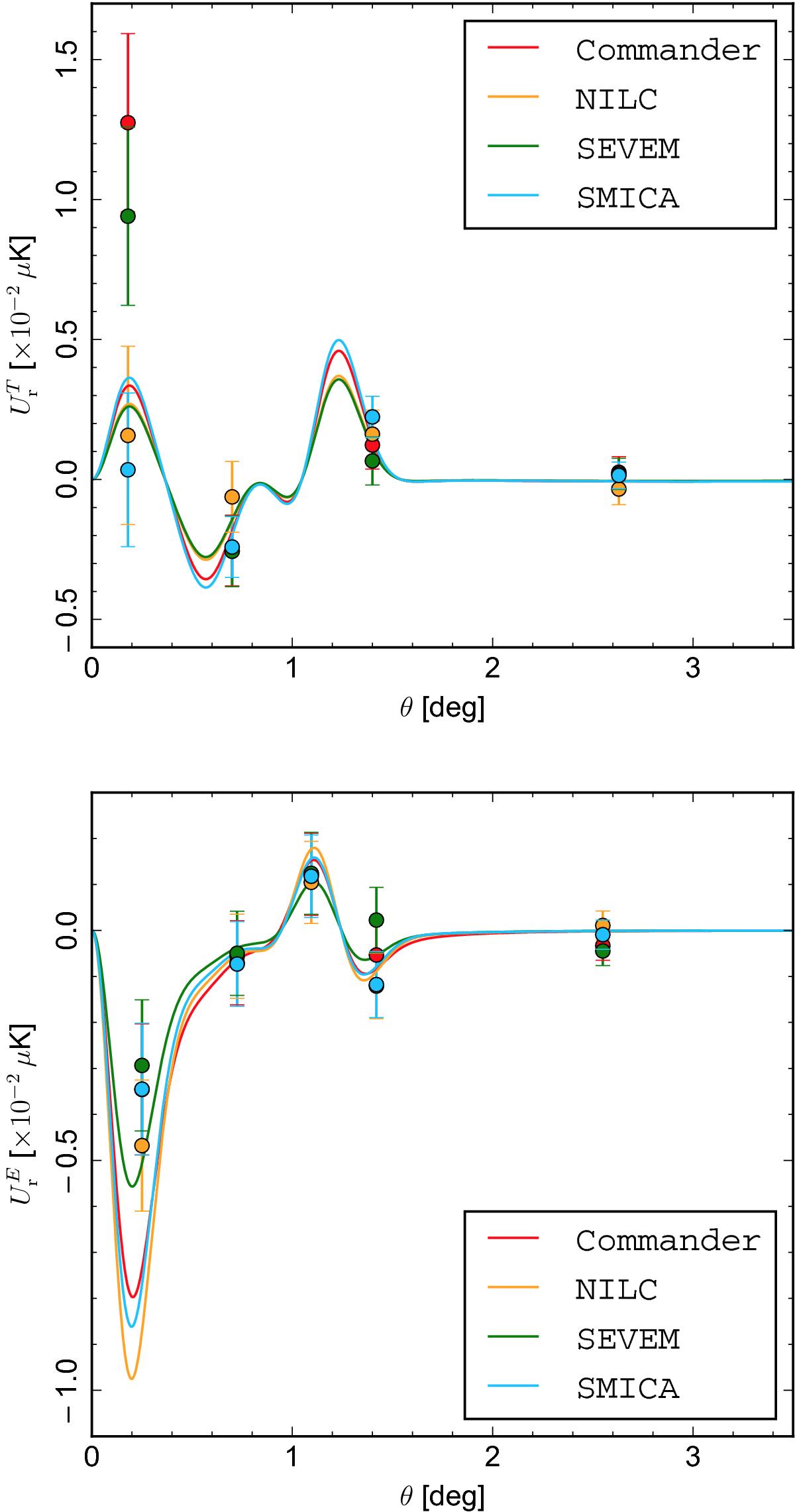
Fig. 3

image

Profiles of Ur from stacking on temperature (top) and E-mode (bottom) extrema for the four component-separation methods. The best-fit curves for each component-separation method are also shown, with α values given in the fourth column of Table 1. We have included both hot and cold spots in this figure, i.e., we have co-added the negative of the profile from cold spots to the profile of the hot spots. Error bars correspond to 68% confidence regions.

This figure is made of several images, please see below:

Current usage metrics show cumulative count of Article Views (full-text article views including HTML views, PDF and ePub downloads, according to the available data) and Abstracts Views on Vision4Press platform.

Data correspond to usage on the plateform after 2015. The current usage metrics is available 48-96 hours after online publication and is updated daily on week days.

Initial download of the metrics may take a while.