Free Access

Fig. 2

image

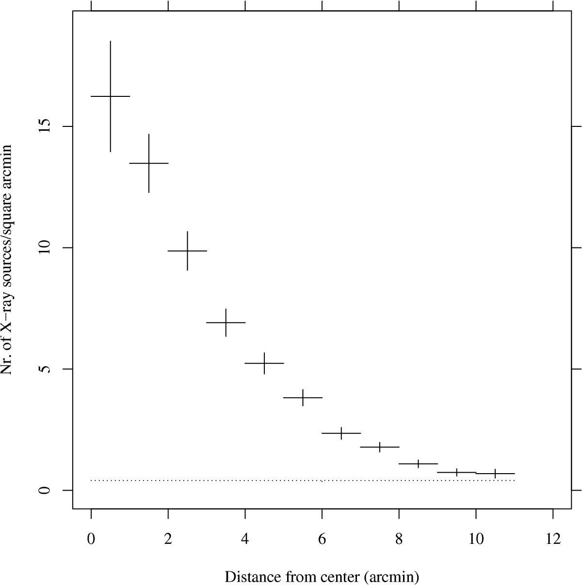
Surface density of X-ray sources detected in the ACIS FOV, with more than 20 X-ray counts. The dotted horizontal line is the average surface density of a reference galactic-plane field with nearly the same exposure time as the NGC 6231 field.

Current usage metrics show cumulative count of Article Views (full-text article views including HTML views, PDF and ePub downloads, according to the available data) and Abstracts Views on Vision4Press platform.

Data correspond to usage on the plateform after 2015. The current usage metrics is available 48-96 hours after online publication and is updated daily on week days.

Initial download of the metrics may take a while.