Free Access

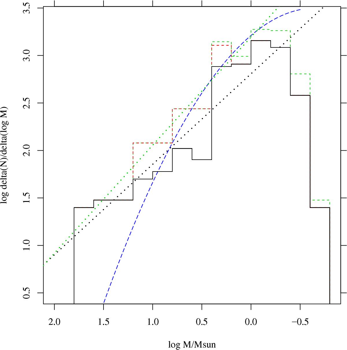
Fig. 32

image

Initial mass function (IMF) of NGC 6231 stars, computed under different assumptions on star membership, as explained in the text. Dotted lines are linear best fits to the black IMF (black dotted line) and to the green one (green dotted line). The blue dashed line is the Chabrier (2003) model IMF, with arbitrary normalization.

Current usage metrics show cumulative count of Article Views (full-text article views including HTML views, PDF and ePub downloads, according to the available data) and Abstracts Views on Vision4Press platform.

Data correspond to usage on the plateform after 2015. The current usage metrics is available 48-96 hours after online publication and is updated daily on week days.

Initial download of the metrics may take a while.