Free Access

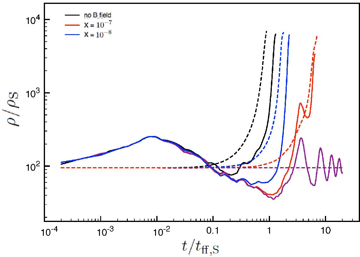
Fig. 10

image

Similar figure as Fig. 5, but with a turbulent velocity field of Mrms = 10 added to the equilibrium filament. The purple line shows the evolution of the ideal MHD filament. The dashed lines show the quiescent evolution of model C3b.

Current usage metrics show cumulative count of Article Views (full-text article views including HTML views, PDF and ePub downloads, according to the available data) and Abstracts Views on Vision4Press platform.

Data correspond to usage on the plateform after 2015. The current usage metrics is available 48-96 hours after online publication and is updated daily on week days.

Initial download of the metrics may take a while.