Free Access

Fig. 3

image

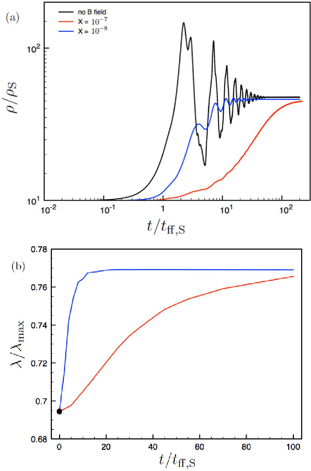
Ambipolar diffusion regulated collapse for model C3a. The blue and red line show the evolution for X = 10-7 and X = 10-8 respectively, while the black line shows the evolution without magnetic fields. Panel a) shows the maximum (i.e. central) density, while panel b) shows the ratio of the line-mass to the critical value given by Eq. (7). The black dot shows the value for the equilibrium structure.

This figure is made of several images, please see below:

Current usage metrics show cumulative count of Article Views (full-text article views including HTML views, PDF and ePub downloads, according to the available data) and Abstracts Views on Vision4Press platform.

Data correspond to usage on the plateform after 2015. The current usage metrics is available 48-96 hours after online publication and is updated daily on week days.

Initial download of the metrics may take a while.