Free Access

Fig. 5

image

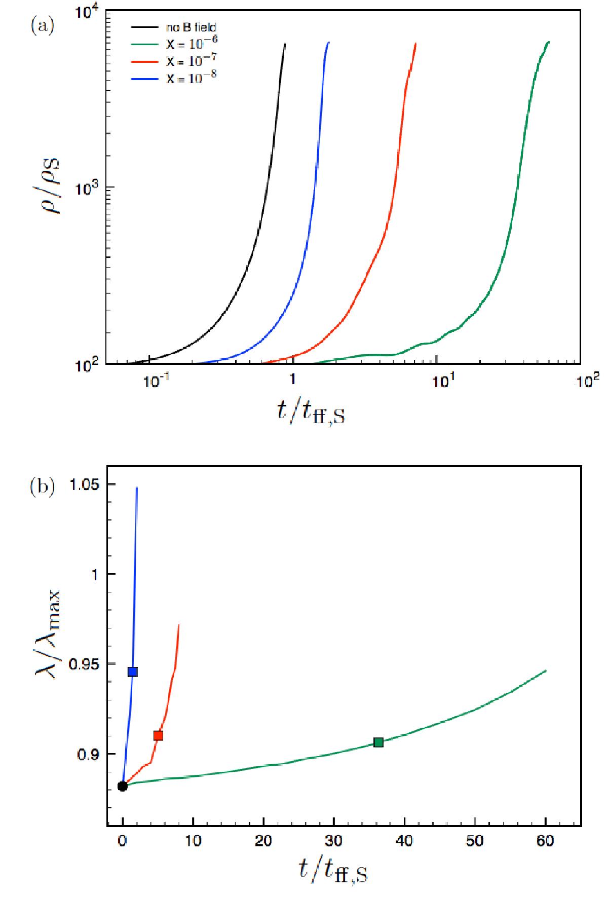
a) Normalised central density, ρ/ρS as a function of time for ambipolar diffusion regulated collapse of model C3b. b) Ratio of line mass to critical line mass with the black dot the value of the equilibrium profile. The squares show the ratio when the central density is 1000 ρS. The blue, red and green lines show the collapse for X = 10-8,10-7 and 10-6 respectively. The black line shows the collapse if no magnetic fields are present.

This figure is made of several images, please see below:

Current usage metrics show cumulative count of Article Views (full-text article views including HTML views, PDF and ePub downloads, according to the available data) and Abstracts Views on Vision4Press platform.

Data correspond to usage on the plateform after 2015. The current usage metrics is available 48-96 hours after online publication and is updated daily on week days.

Initial download of the metrics may take a while.