Free Access

Fig. 8

image

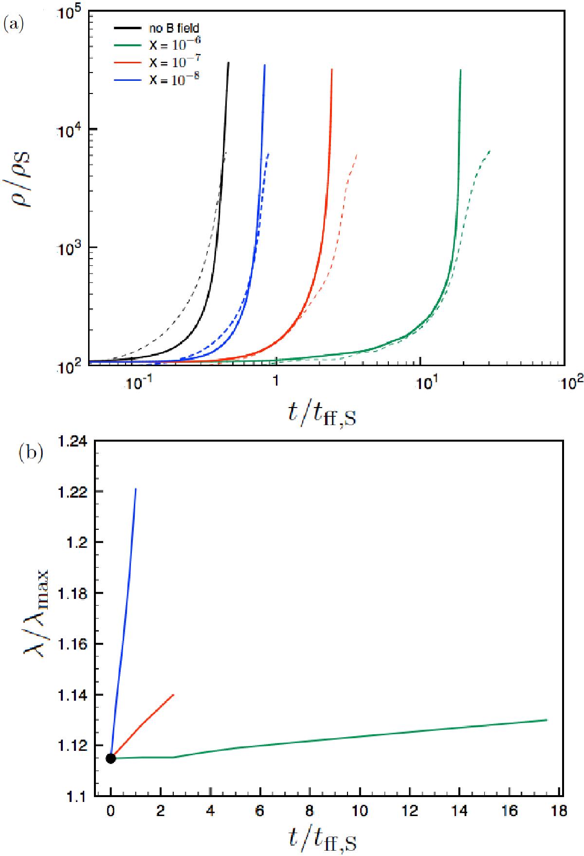
Same figures as for Fig. 5 but for model D2. The dashed lines show the evolution for model C3b from Fig. 5 with the time renormalised so that the numerical time scale for instantaneous flux loss is the same as for model D2.

This figure is made of several images, please see below:

Current usage metrics show cumulative count of Article Views (full-text article views including HTML views, PDF and ePub downloads, according to the available data) and Abstracts Views on Vision4Press platform.

Data correspond to usage on the plateform after 2015. The current usage metrics is available 48-96 hours after online publication and is updated daily on week days.

Initial download of the metrics may take a while.