Free Access

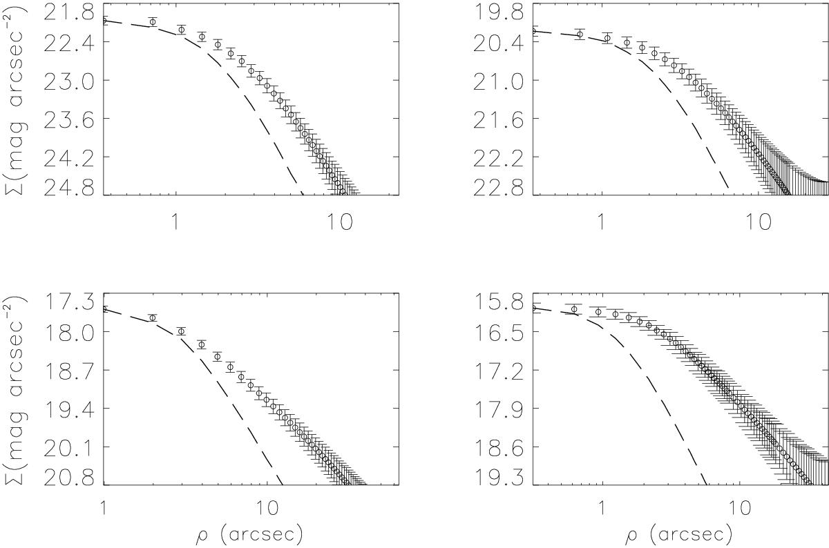
Fig. 3

image

Surface brightness profiles of W3 for the images obtained in 2006, 2007 (upper panel), 2008, and 2009 (lower panel). The points correspond to the comet profiles, the dashed lines represent the star PSF.

Current usage metrics show cumulative count of Article Views (full-text article views including HTML views, PDF and ePub downloads, according to the available data) and Abstracts Views on Vision4Press platform.

Data correspond to usage on the plateform after 2015. The current usage metrics is available 48-96 hours after online publication and is updated daily on week days.

Initial download of the metrics may take a while.