Free Access

Fig. 4

image

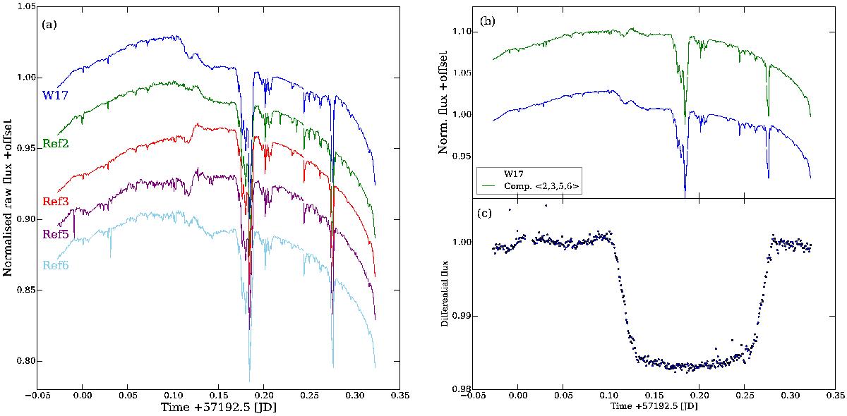
a) Raw time-series light curves of the six stars observed and analysed with the custom designed mask, shown in Fig. 1. b) Raw light curves for WASP-17 and the composite comparison star made from the combination of all reference stars, excluding reference 4. c) Normalised transit light curve for WASP-17b obtained through division of the two plots above and normalised to out-of-transit flux mean. Light curves in panels a) and b) have been shifted for clarity.

Current usage metrics show cumulative count of Article Views (full-text article views including HTML views, PDF and ePub downloads, according to the available data) and Abstracts Views on Vision4Press platform.

Data correspond to usage on the plateform after 2015. The current usage metrics is available 48-96 hours after online publication and is updated daily on week days.

Initial download of the metrics may take a while.