Free Access

Fig. 4

image

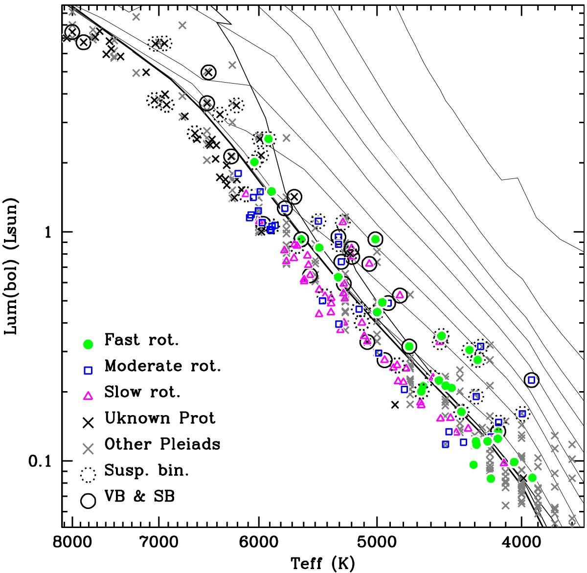
Zoom for the Hertzsprung-Russell diagram showing Pleiades FGK members. The isochrones correspond to Siess et al. (2000), with ages of 1, 3, 5, 7, 10, 15, 20, 30, 50, 125, Myr, and 5 Gyr. The 125 Myr isochrone is highlighted. Fast (green solid circles), moderate (open blue squares), and slow (open magenta triangles) rotators are defined by their location within the period vs. luminosity plot shown in Fig. 5. The same symbols and color codes are used in the following figures. Empty large black circles indicate binaries (broken lines for suspected binaries).

Current usage metrics show cumulative count of Article Views (full-text article views including HTML views, PDF and ePub downloads, according to the available data) and Abstracts Views on Vision4Press platform.

Data correspond to usage on the plateform after 2015. The current usage metrics is available 48-96 hours after online publication and is updated daily on week days.

Initial download of the metrics may take a while.