Free Access

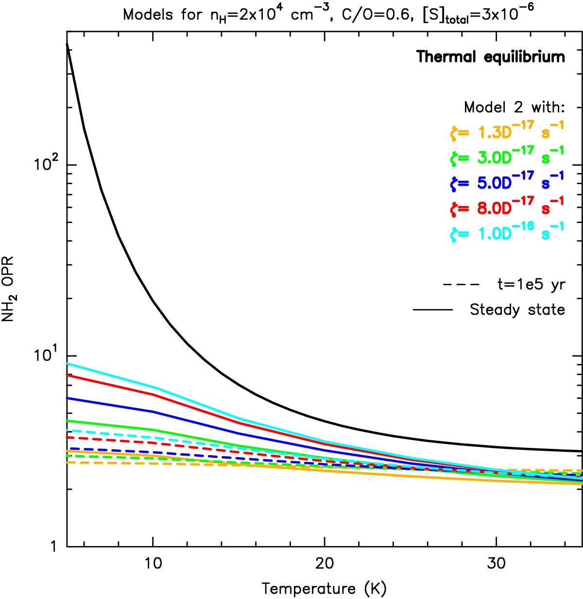
Fig. 10

image

NH2 OPR computed with Model 2 for different cosmic-ray ionization rates. The NH2-OPR values are plotted at two different times: 1 × 105 yr and at steady state.

Current usage metrics show cumulative count of Article Views (full-text article views including HTML views, PDF and ePub downloads, according to the available data) and Abstracts Views on Vision4Press platform.

Data correspond to usage on the plateform after 2015. The current usage metrics is available 48-96 hours after online publication and is updated daily on week days.

Initial download of the metrics may take a while.