Free Access

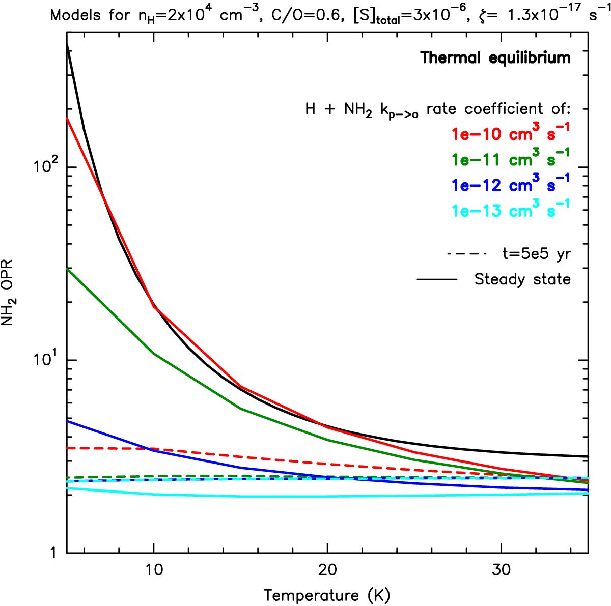
Fig. 5

image

Impact of the kp → o rate coefficient of the H + NH2 H-exchange reaction on the NH2 OPR as a function of temperature computed with Model 1 for the physical conditions given in the super title at steady state and an earlier time. The details of Model 1 are described in Sect. 2.3.

Current usage metrics show cumulative count of Article Views (full-text article views including HTML views, PDF and ePub downloads, according to the available data) and Abstracts Views on Vision4Press platform.

Data correspond to usage on the plateform after 2015. The current usage metrics is available 48-96 hours after online publication and is updated daily on week days.

Initial download of the metrics may take a while.