Free Access

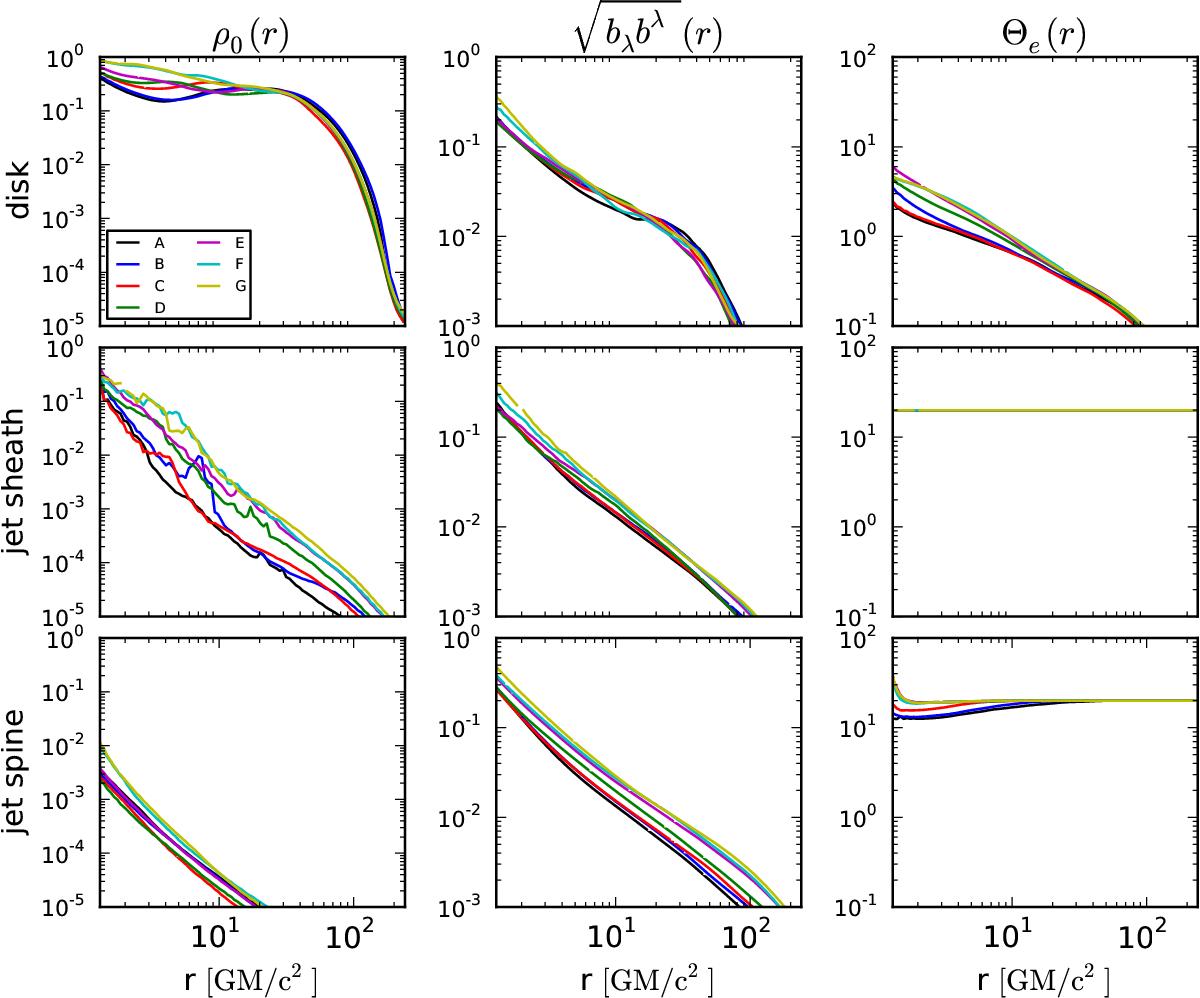
Fig. 3

image

Shell- and time-averaged profiles of rest mass density ρ0 (left column), magnetic field strength (middle column), and electron temperature Θe (right column) in the disk (top row), jet sheath (middle row), and jet spine (bottom row) for models with various black hole spins. All quantities are in dimensionless code units. See text (Sect. 3.1) for discussion.

Current usage metrics show cumulative count of Article Views (full-text article views including HTML views, PDF and ePub downloads, according to the available data) and Abstracts Views on Vision4Press platform.

Data correspond to usage on the plateform after 2015. The current usage metrics is available 48-96 hours after online publication and is updated daily on week days.

Initial download of the metrics may take a while.