Free Access

Fig. 4

image

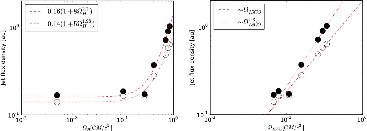
Radio flux densities of models plotted as a function of the black hole event horizon angular velocity (left panel), and as a function of the angular velocity of the matter in the disk at the ISCO (right panel). We show the radio flux densities at two frequencies; ν1 = 86 (filled circles) ν2 = 43 (open circles) GHz at which the SEDs are close to flat and optically thick. The flux densities are given in arbitrary units since they depend on the distance to the source that is not specified here. The emission is computed for a fixed mass of the black hole and a fixed accretion rate. The lines show the best fits to the synthetic data points. The best-fit parameters, along with the form of the fitting function, are given in Table 3.

This figure is made of several images, please see below:

Current usage metrics show cumulative count of Article Views (full-text article views including HTML views, PDF and ePub downloads, according to the available data) and Abstracts Views on Vision4Press platform.

Data correspond to usage on the plateform after 2015. The current usage metrics is available 48-96 hours after online publication and is updated daily on week days.

Initial download of the metrics may take a while.