Free Access

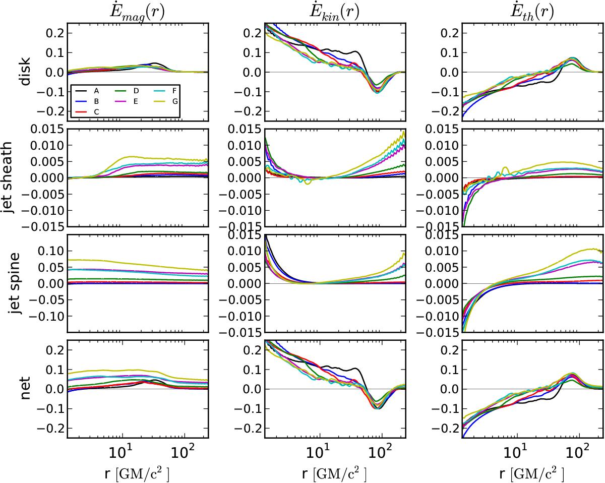
Fig. 6

image

Shell- and time-averaged radial fluxes of mass, total energy, and energy without rest mass energy included (Ėmag, Ėkin, Ėth from left to right, respectively) in the disk, jet sheath, jet spine, and the whole regions in models with various black hole spins.

Current usage metrics show cumulative count of Article Views (full-text article views including HTML views, PDF and ePub downloads, according to the available data) and Abstracts Views on Vision4Press platform.

Data correspond to usage on the plateform after 2015. The current usage metrics is available 48-96 hours after online publication and is updated daily on week days.

Initial download of the metrics may take a while.