Free Access

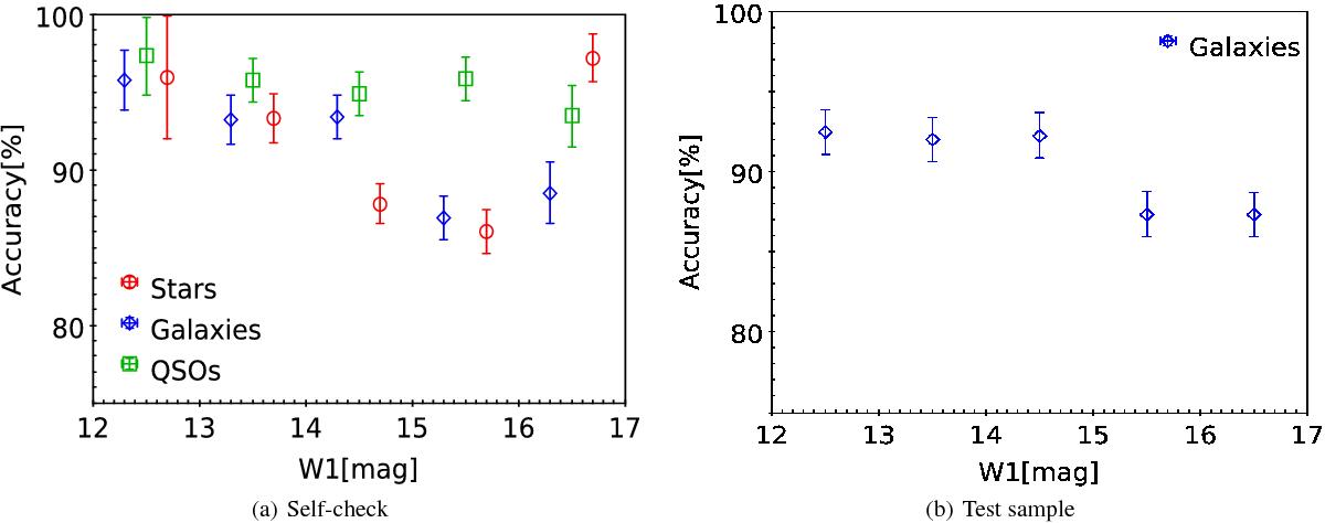
Fig. 4

image

Accuracy of the 5D classifier as a function of the limiting W1 magnitude for the three types of classified sources, for the self-check (left panel) and the test sample (right panel). Blue diamonds correspond to galaxies, green squares to quasars, and red circles to stars. The points were shifted horizontally for clarity.

This figure is made of several images, please see below:

Current usage metrics show cumulative count of Article Views (full-text article views including HTML views, PDF and ePub downloads, according to the available data) and Abstracts Views on Vision4Press platform.

Data correspond to usage on the plateform after 2015. The current usage metrics is available 48-96 hours after online publication and is updated daily on week days.

Initial download of the metrics may take a while.