Free Access

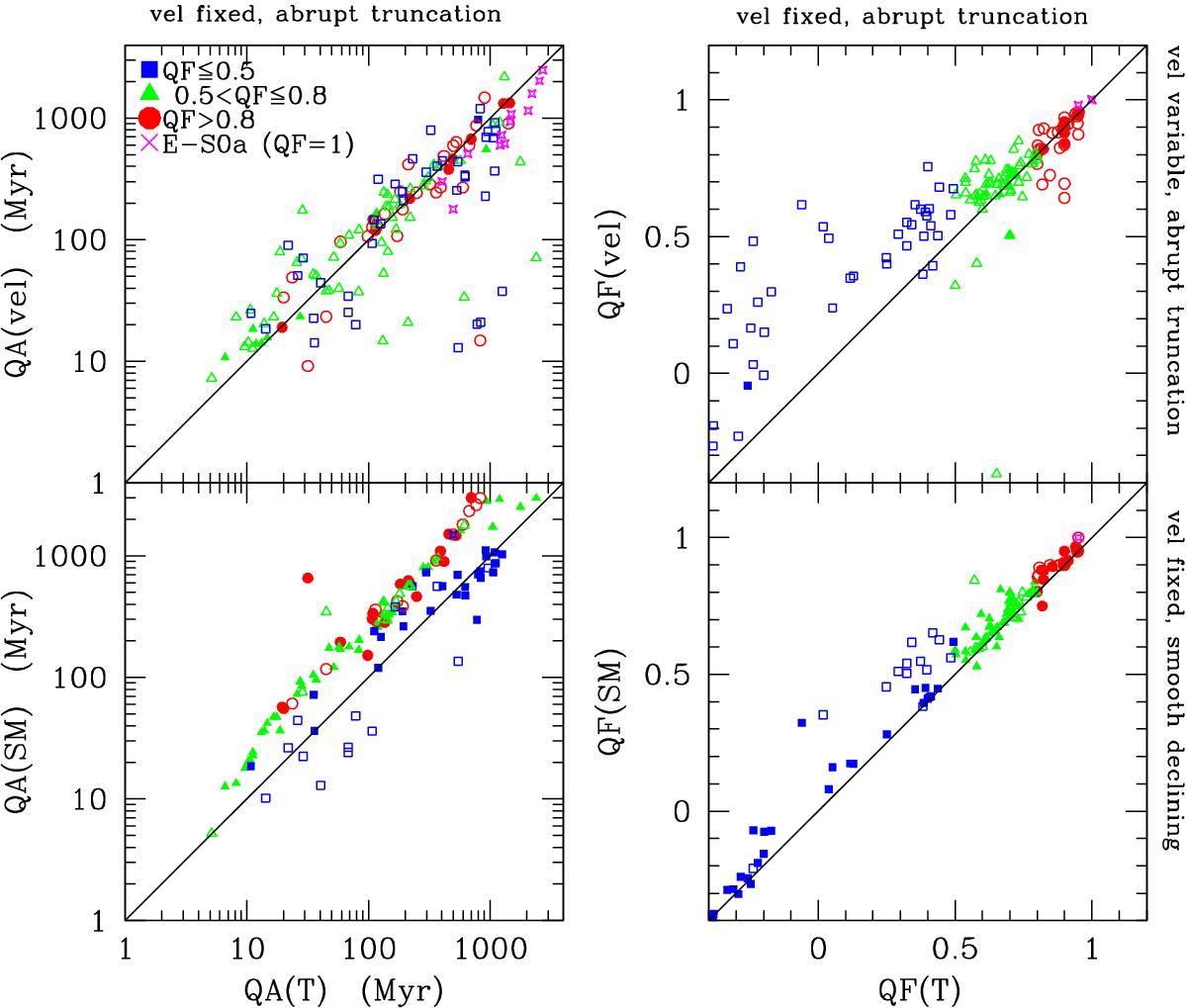
Fig. A.2

image

Left panel: relationship between the quenching age parameter derived using a truncated star formation history (Eq. (4)) with the rotational velocity as a free parameter (QA(vel), upper panel) or using a smoothly declining star formation history (Eq. (A.1)) with fixed rotational velocity (QA(SM), lower panel) vs. the one derived using a truncated star formation history (Eq. (4)) determined using a fixed value for the rotational velocity QA(T). Filled symbols and crosses indicate galaxies where the reduced in the truncated model with fixed velocity is smaller than the one derived with the smoothly declining star formation history or the truncated one with the rotational velocity as a free parameter, empty symbols for > 1. Blue squares, green triangles, and red circles are for late-type galaxies with a quenching factor QF ≤ 0.5, 0.5 <QF ≤ 0.8, and QF> 0.8, respectively, and the magenta crosses and empty stars show early-type galaxies. The black solid line shows the 1:1 relation. Only galaxies with a are plotted. Right panel: same relationships for the quenching factor.

Current usage metrics show cumulative count of Article Views (full-text article views including HTML views, PDF and ePub downloads, according to the available data) and Abstracts Views on Vision4Press platform.

Data correspond to usage on the plateform after 2015. The current usage metrics is available 48-96 hours after online publication and is updated daily on week days.

Initial download of the metrics may take a while.