Free Access

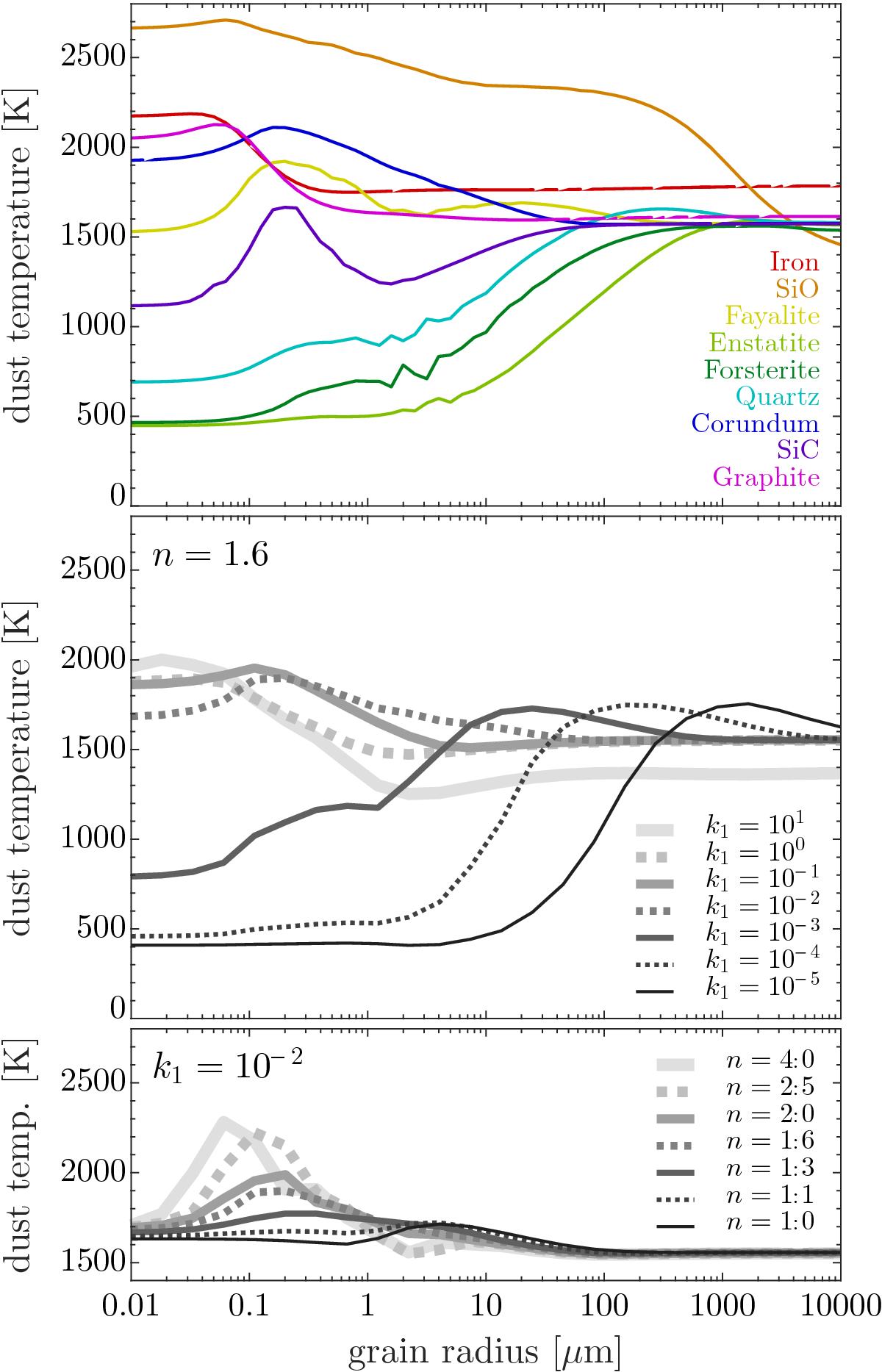
Fig. B.2

image

Dust temperatures at the distance of the planet as a function of grain size calculated using different complex refractive indices. Top: using the full wavelength-dependent complex refractive indices of real dust species, measured through laboratory experiments. Middle: using our simple complex-refractive-index prescription, keeping n fixed and varying k1. Bottom: using our simple complex-refractive-index prescription, keeping k1 fixed and varying n.

Current usage metrics show cumulative count of Article Views (full-text article views including HTML views, PDF and ePub downloads, according to the available data) and Abstracts Views on Vision4Press platform.

Data correspond to usage on the plateform after 2015. The current usage metrics is available 48-96 hours after online publication and is updated daily on week days.

Initial download of the metrics may take a while.