Free Access

Fig. 2

image

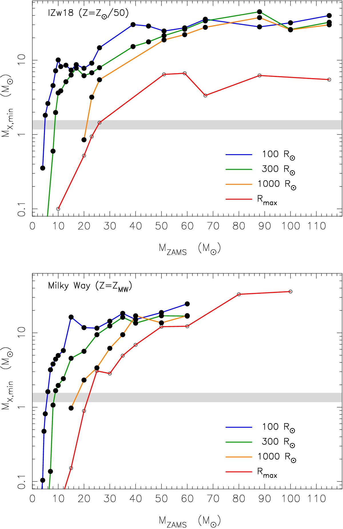
Minimum mass of the in-spiralling object, MX,min which is needed to expel the envelope during a CE evolution with α = 1, for a given donor star radius as indicated by the coloured lines, as a function of ZAMS mass of the donor star, MZAMS for Z = Z/ 50 (upper panel) and Z = ZMW (lower panel). Rmax is the maximum radial extent during the stellar evolution. The grey band between 1.17 and 1.56M indicates masses of NSs observed in double NS systems (Martinez et al. 2015).

This figure is made of several images, please see below:

Current usage metrics show cumulative count of Article Views (full-text article views including HTML views, PDF and ePub downloads, according to the available data) and Abstracts Views on Vision4Press platform.

Data correspond to usage on the plateform after 2015. The current usage metrics is available 48-96 hours after online publication and is updated daily on week days.

Initial download of the metrics may take a while.