Free Access

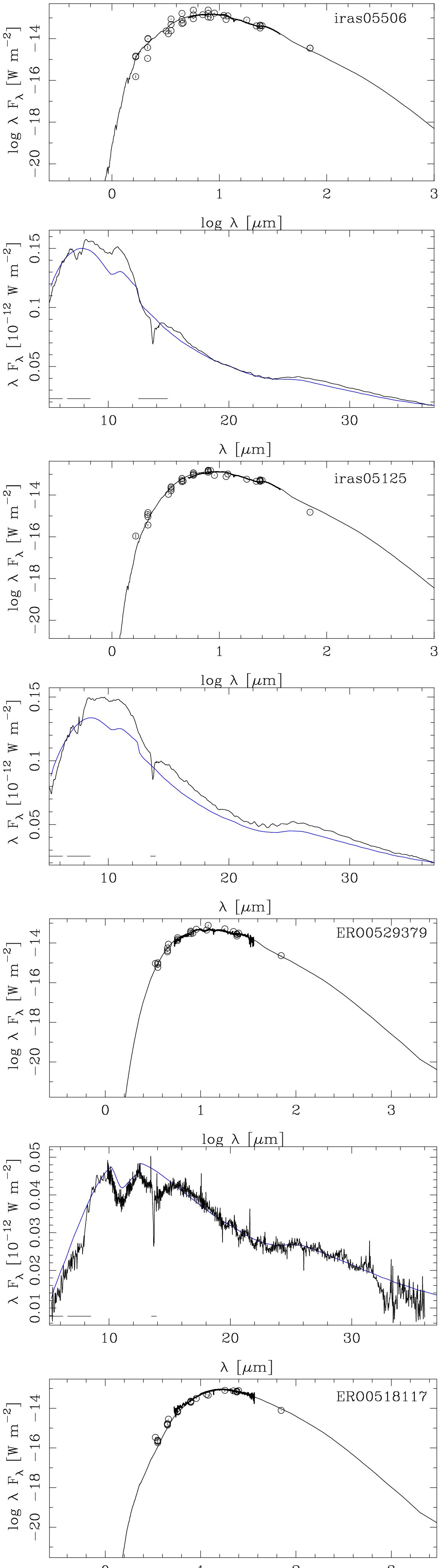
Fig. A.1

image

Fits to the SED and IRS spectrum of the C stars. The small vertical lines near the bottom of the plot with the spectrum indicate wavelength regions excluded from the fitting.

This figure is made of several images, please see below:

Current usage metrics show cumulative count of Article Views (full-text article views including HTML views, PDF and ePub downloads, according to the available data) and Abstracts Views on Vision4Press platform.

Data correspond to usage on the plateform after 2015. The current usage metrics is available 48-96 hours after online publication and is updated daily on week days.

Initial download of the metrics may take a while.