Free Access

Fig. 1

image

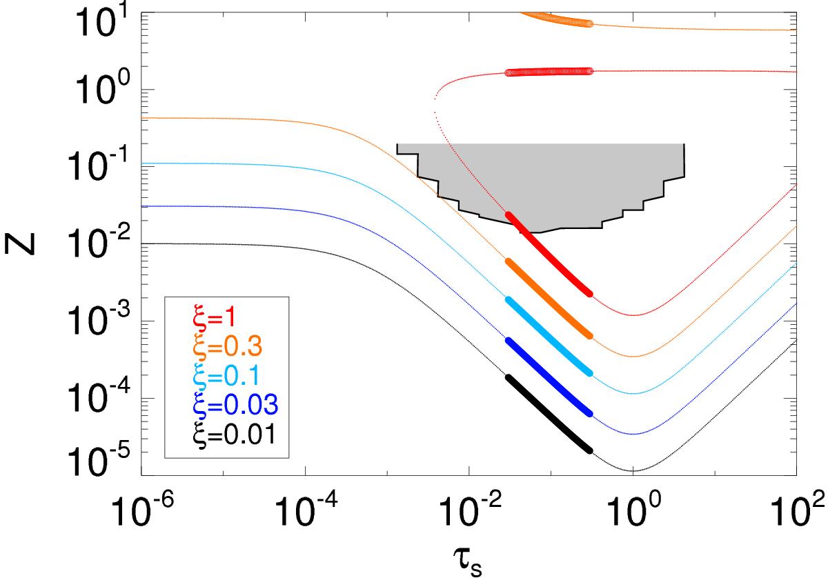
Steady-state solutions for the solid-to-gas mixing ratio Z as a function of the Stokes number of solid particles τs for different values of the solid-to-dust-mass flux ratio ξ (as labeled), assuming a value of the turbulent viscosity α = 10-3. The values of τs corresponding to expected pebble sizes are highlighted with larger symbols. The two solutions provided by Eq. (13)are indicated by filled and open symbols, respectively. The gray area highlights the region in which planetesimals should form by a streaming instability (Carrera et al. 2015).

Current usage metrics show cumulative count of Article Views (full-text article views including HTML views, PDF and ePub downloads, according to the available data) and Abstracts Views on Vision4Press platform.

Data correspond to usage on the plateform after 2015. The current usage metrics is available 48-96 hours after online publication and is updated daily on week days.

Initial download of the metrics may take a while.