Free Access

Fig. 2

image

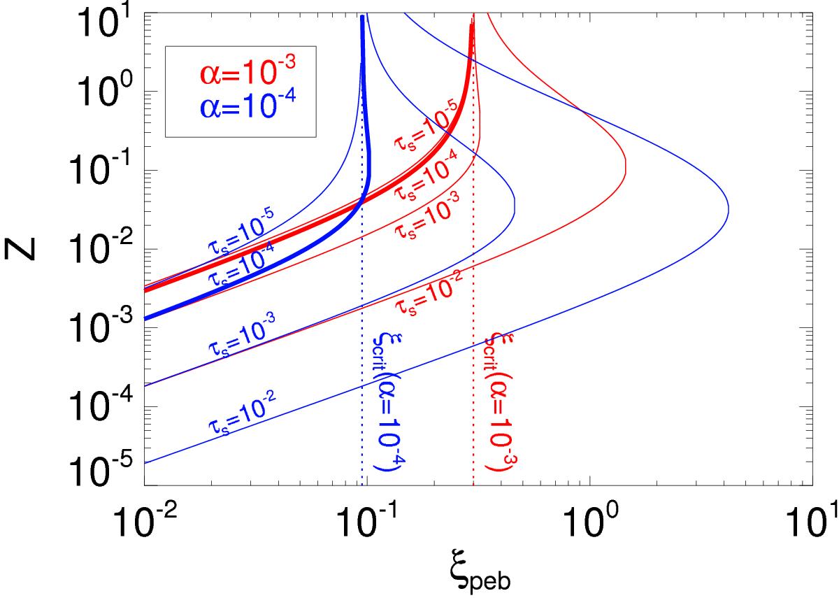
Steady-state solutions for the solid-to-gas mixing ratio Z as a function of the solid-to-gas-mass flux ratio ξ for different values of the Stokes number of solid particles τs (from 10-5 to 10-2, as labeled), assuming two values of the turbulent viscosity α = 10-4 (in blue) and α = 10-3 (in red). Equation (13) is numerically solved. In contrast to Fig. 1, we now consider that initially icy pebbles with τs,peb ~ 0.1 and containing a mass fraction ζ0 = 1/3 in dust sublimate inside of the snow line. The thicker lines corresponds to the preferred value for the dust particles, τs = 10-4.

Current usage metrics show cumulative count of Article Views (full-text article views including HTML views, PDF and ePub downloads, according to the available data) and Abstracts Views on Vision4Press platform.

Data correspond to usage on the plateform after 2015. The current usage metrics is available 48-96 hours after online publication and is updated daily on week days.

Initial download of the metrics may take a while.