Free Access

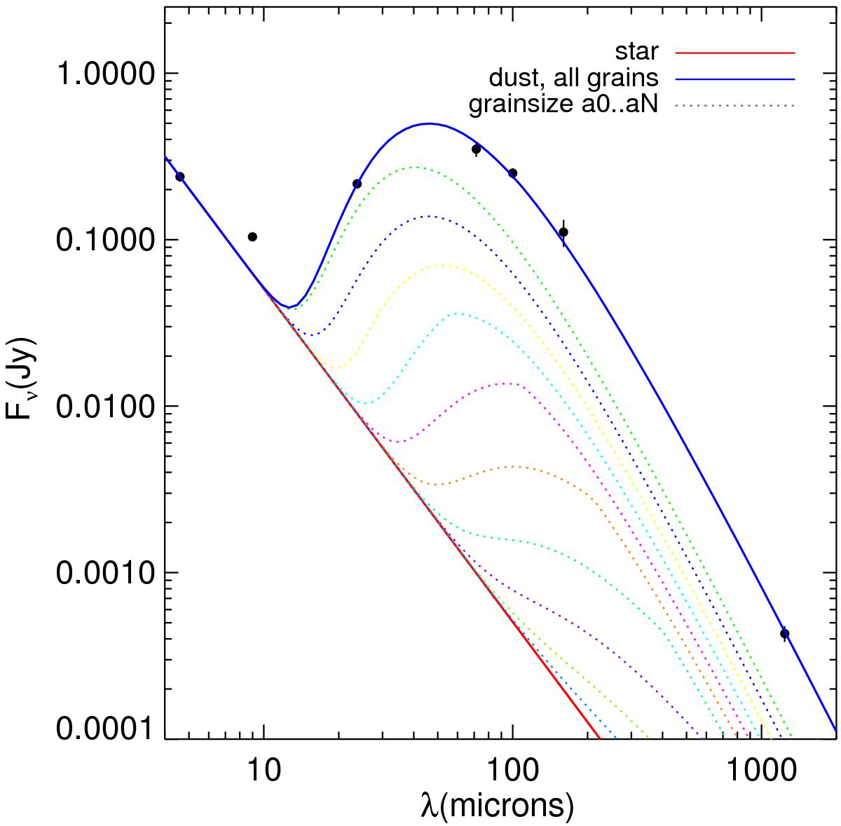
Fig. C.1

image

Photometry of HD 114082 showing excess flux (black dots) over the photosphere (red line). The blue solid line is the best-fit model SED corresponding to the MLOCI+ADI model in Table B.1 (disk inner radius of 27.6 au and γ = 3.9; see text for details) with a grain radius of 7.2 μm and grain size power-law index, q = 4.25. The dashed lines are the SED contributions of different grain diameters spaced evenly on a log scale (light green for 10 μm, blue for 19 μm, ..., purple for 1056 μm).

Current usage metrics show cumulative count of Article Views (full-text article views including HTML views, PDF and ePub downloads, according to the available data) and Abstracts Views on Vision4Press platform.

Data correspond to usage on the plateform after 2015. The current usage metrics is available 48-96 hours after online publication and is updated daily on week days.

Initial download of the metrics may take a while.