Free Access

Fig. 2

image

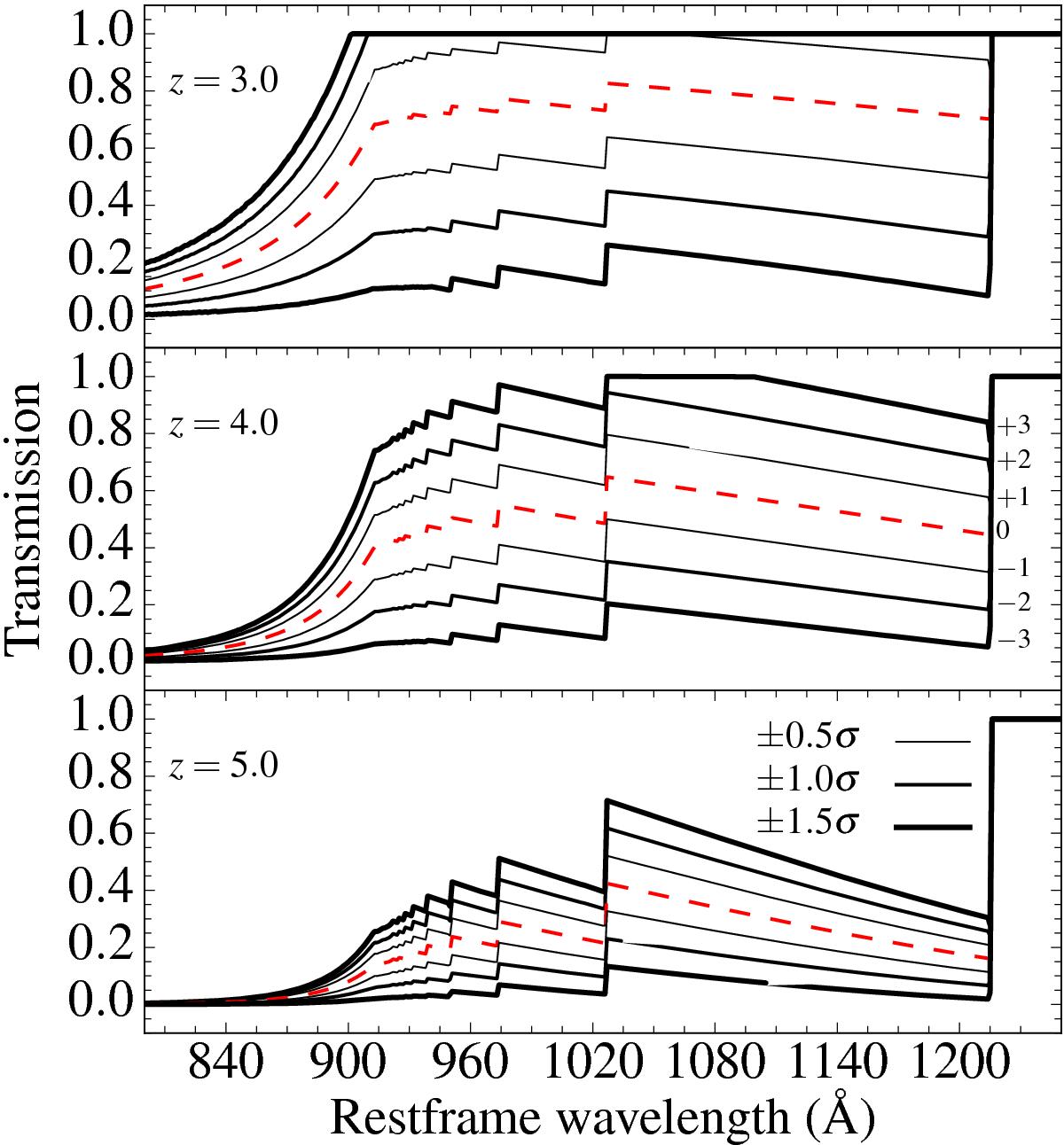
Seven IGM transmission templates used in this work at z = 3.0, z = 4.0, and z = 5.0. The mean M06 IGM transmission is represented by the dashed red line. The ± 0.5σ, ± 1.0σ, and ± 1.5σ curves are the six black curves of different thickness. The thicker lines represent ± 1.5σ.

Current usage metrics show cumulative count of Article Views (full-text article views including HTML views, PDF and ePub downloads, according to the available data) and Abstracts Views on Vision4Press platform.

Data correspond to usage on the plateform after 2015. The current usage metrics is available 48-96 hours after online publication and is updated daily on week days.

Initial download of the metrics may take a while.