Free Access

Fig. 2

image

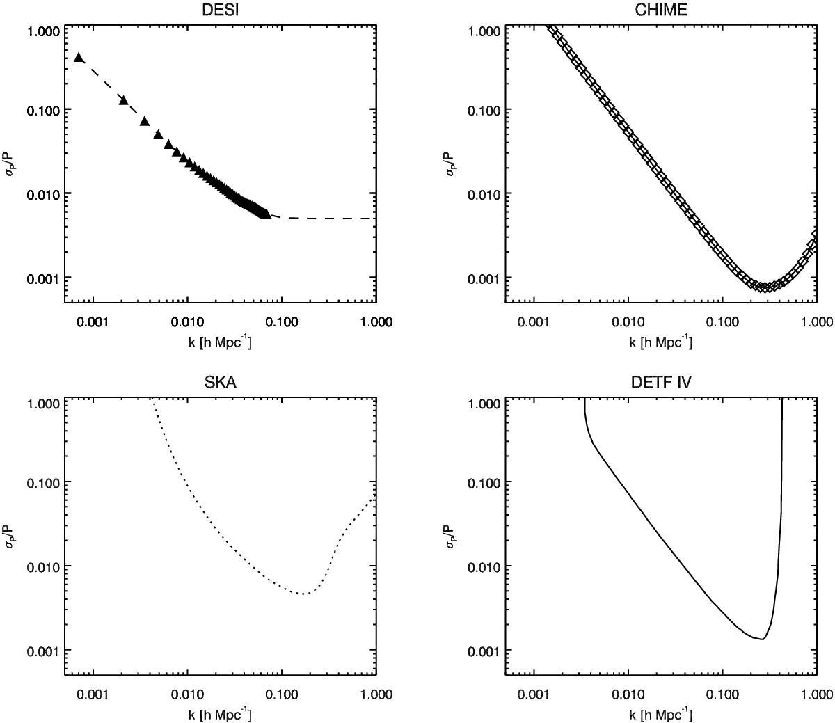
Comparison of different large-scale structure mapping surveys. The plot shows the fractional error in the power spectrum versus wave number k for DESI, CHIME, SKA, and a stage IV Dark Energy Task Force experiment (DETF IV). We emphasise that this is not a direct comparison. Different experiments use different schemes for binning in k and different redshift intervals and target redshifts. Here we merely show a snapshot of the capabilities of different surveys. The Dark Energy Spectroscopic Instrument (DESI, http://www.desi.lbl.gov) is a galaxy and quasar/Lyman-alpha survey that will measure the effect of dark energy on the expansion of the Universe. It will obtain optical spectra for tens of millions of galaxies and quasars. The DESI estimated errors were provided by Pat McDonald (priv. comm.). The DESI points are truncated to 0.5 per cent error for the small scales or larger k as a rough estimate of potential systematic effects, which are essentially neglected in the other surveys at this point. The Canadian Hydrogen Intensity Mapping Experiment (CHIME) is a 21 cm survey (Bandura et al. 2014). The CHIME errors, calculated using the method in Seo et al. (2010), were provided by Kris Sigurdson (private communication). The DETF IV (survey aims specifically at measuring the BAO features very accurately to test for dark energy effects, but does not focus on testing the very-high-energy effects of inflation, namely, looking at the horizon scale at recombination and above, where the effects of early inflation and early Universe phase transitions are most likely to be observed. The SKA (phase 1) and DETF fractional errors are obtained from Bull et al. (2015).

Current usage metrics show cumulative count of Article Views (full-text article views including HTML views, PDF and ePub downloads, according to the available data) and Abstracts Views on Vision4Press platform.

Data correspond to usage on the plateform after 2015. The current usage metrics is available 48-96 hours after online publication and is updated daily on week days.

Initial download of the metrics may take a while.