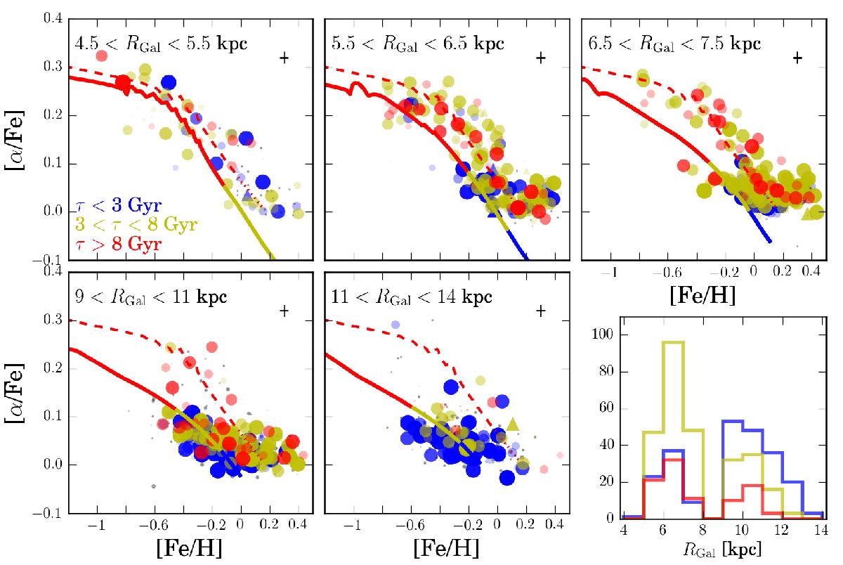
Fig. 14
 
      The [α/Fe]-vs.-[Fe/H] chemical plane for five different bins in Galactocentric distance RGal. The colour represents our stellar age estimates, as indicated in the first panel: blue indicates stars younger than 3 Gyr, red stars older than 8 Gyr, and yellow intermediate ages. The point size and transparency of each data point encode the age uncertainty, i.e., a smaller and more transparent symbol corresponds to a lower probability to belong to the particular age bin. The few triangles correspond to stars whose measured radial velocity scatter is greater than 800 m/s and which could be binaries. In the background of each panel, stars from the APOGEE DR12 main sample observed in similar Galactic regions are plotted as grey dots for comparison. The error bar in the upper right corner of each panel represents the typical (internal) uncertainty of the chemical abundances. The solid lines correspond to the thin-disc chemical-evolution model of Chiappini (2009) for different Galactocentric distances, and the dashed lines correspond to a thick-disc model at RGal = 6 kpc. The lower right panel displays the overall RGal distributions of our sample split into the three age bins.
Current usage metrics show cumulative count of Article Views (full-text article views including HTML views, PDF and ePub downloads, according to the available data) and Abstracts Views on Vision4Press platform.
Data correspond to usage on the plateform after 2015. The current usage metrics is available 48-96 hours after online publication and is updated daily on week days.
Initial download of the metrics may take a while.
