Fig. 15
 
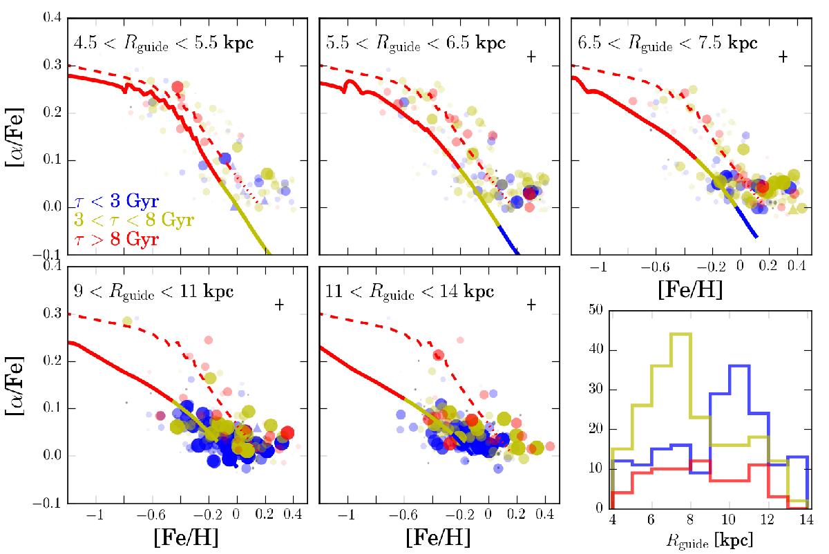
      Same format as Fig. 14, only that the data are now binned in guiding-center radius, Rguide, rather than Galactocentric distance, to mitigate the effect of stellar mixing by “blurring”. Again, the colour-code represents the age, while the size and transparency now encode the uncertainty in stellar age and guiding-center radius. (If a star has a highly uncertain guiding radius – i.e. an Rguide PDF which extends over multiple R bins – it will appear as a faint dot in multiple panels of this figure.)
Current usage metrics show cumulative count of Article Views (full-text article views including HTML views, PDF and ePub downloads, according to the available data) and Abstracts Views on Vision4Press platform.
Data correspond to usage on the plateform after 2015. The current usage metrics is available 48-96 hours after online publication and is updated daily on week days.
Initial download of the metrics may take a while.
