Free Access

Fig. 5

image

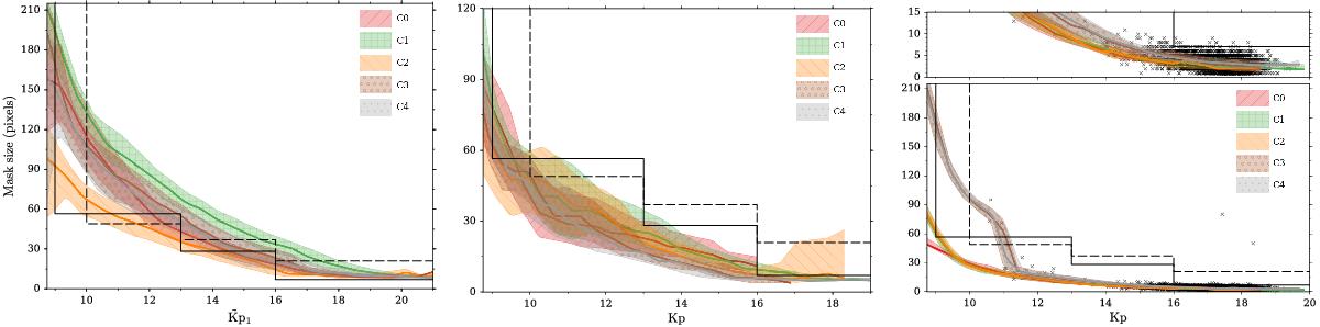
Comparison between the median binned mask sizes for Campaigns 0–4 excluding targets from AGN/galaxy GO proposals3; hatch-shaded regions indicate the IQR for the mask sizes. For a better visualisation we only show the comparison for . Left: mask sizes obtained for K2P2; shown are also the Aigrain et al. (2015) (full black) and Armstrong et al. (2015) (dashed black) relations, which are given in all panels. Middle: mask sizes obtained from the Vanderburg & Johnson (2014) light curves when a pixel-response-function (PRF) fit is performed. Right: mask sizes from the data products prepared by the photometric analysis (PA) component of the Kepler science processing pipeline. Black crosses mark the extended targets from the GO proposals 3048. The top panel shows a zoom up to mask sizes of 15 pixels, indicating the possibility of masks down to a single pixel.

This figure is made of several images, please see below:

Current usage metrics show cumulative count of Article Views (full-text article views including HTML views, PDF and ePub downloads, according to the available data) and Abstracts Views on Vision4Press platform.

Data correspond to usage on the plateform after 2015. The current usage metrics is available 48-96 hours after online publication and is updated daily on week days.

Initial download of the metrics may take a while.