Free Access

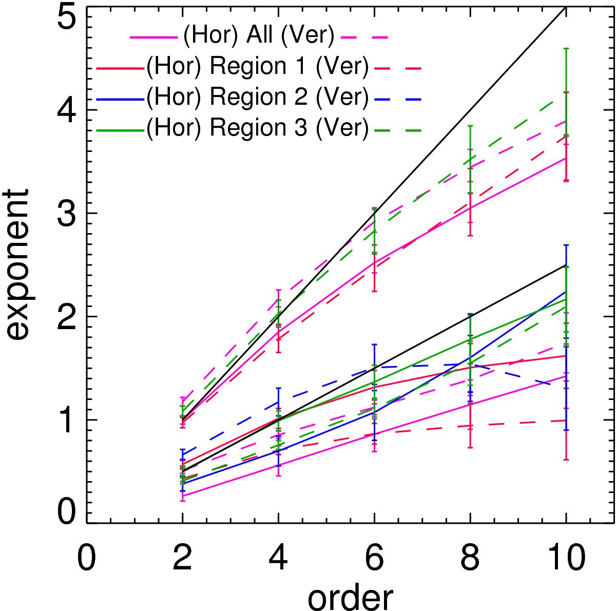
Fig. 11

image

Scaling exponent of the structure function as a function of the order p both above and below the break in the distribution for the whole prominence and all three regions, both for horizontal (solid lines) and vertical (dashed lines). The black lines give the expected trend if the exponents of structure functions followed the linear relation of p/ 2 (higher) or p/ 4 (lower). Note that below the break, only some of the structure functions displayed a clear power law for all orders of the structure function and so only four exponents are plotted from below the break.

Current usage metrics show cumulative count of Article Views (full-text article views including HTML views, PDF and ePub downloads, according to the available data) and Abstracts Views on Vision4Press platform.

Data correspond to usage on the plateform after 2015. The current usage metrics is available 48-96 hours after online publication and is updated daily on week days.

Initial download of the metrics may take a while.