Free Access

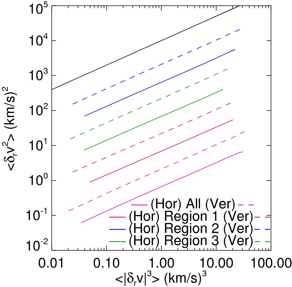
Fig. 13

image

ESS analysis, in this case the third order structure function as calculated from the modulus of the velocity increments against the second order structure function, for the whole prominence and the three regions including both the horizontal and vertical scalings. The plots have been shifted for clarity. Black solid line gives the power law exponent of 0.7 that was found as the exponent of these plots.

Current usage metrics show cumulative count of Article Views (full-text article views including HTML views, PDF and ePub downloads, according to the available data) and Abstracts Views on Vision4Press platform.

Data correspond to usage on the plateform after 2015. The current usage metrics is available 48-96 hours after online publication and is updated daily on week days.

Initial download of the metrics may take a while.