Free Access

Fig. 7

image

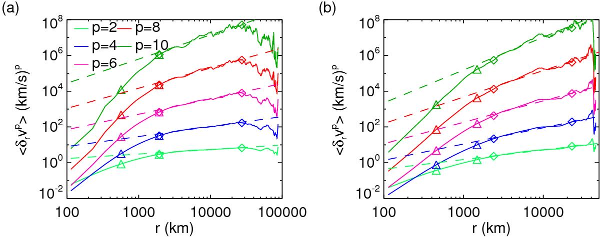
Even order structure functions between p = 2 to 10 across the whole prominence for the velocity increments calculated in the horizontal (panel a)) and vertical (panel b)) directions. The triangles and diamonds mark the ranges where the exponents of the power law are calculated.

Current usage metrics show cumulative count of Article Views (full-text article views including HTML views, PDF and ePub downloads, according to the available data) and Abstracts Views on Vision4Press platform.

Data correspond to usage on the plateform after 2015. The current usage metrics is available 48-96 hours after online publication and is updated daily on week days.

Initial download of the metrics may take a while.