Free Access

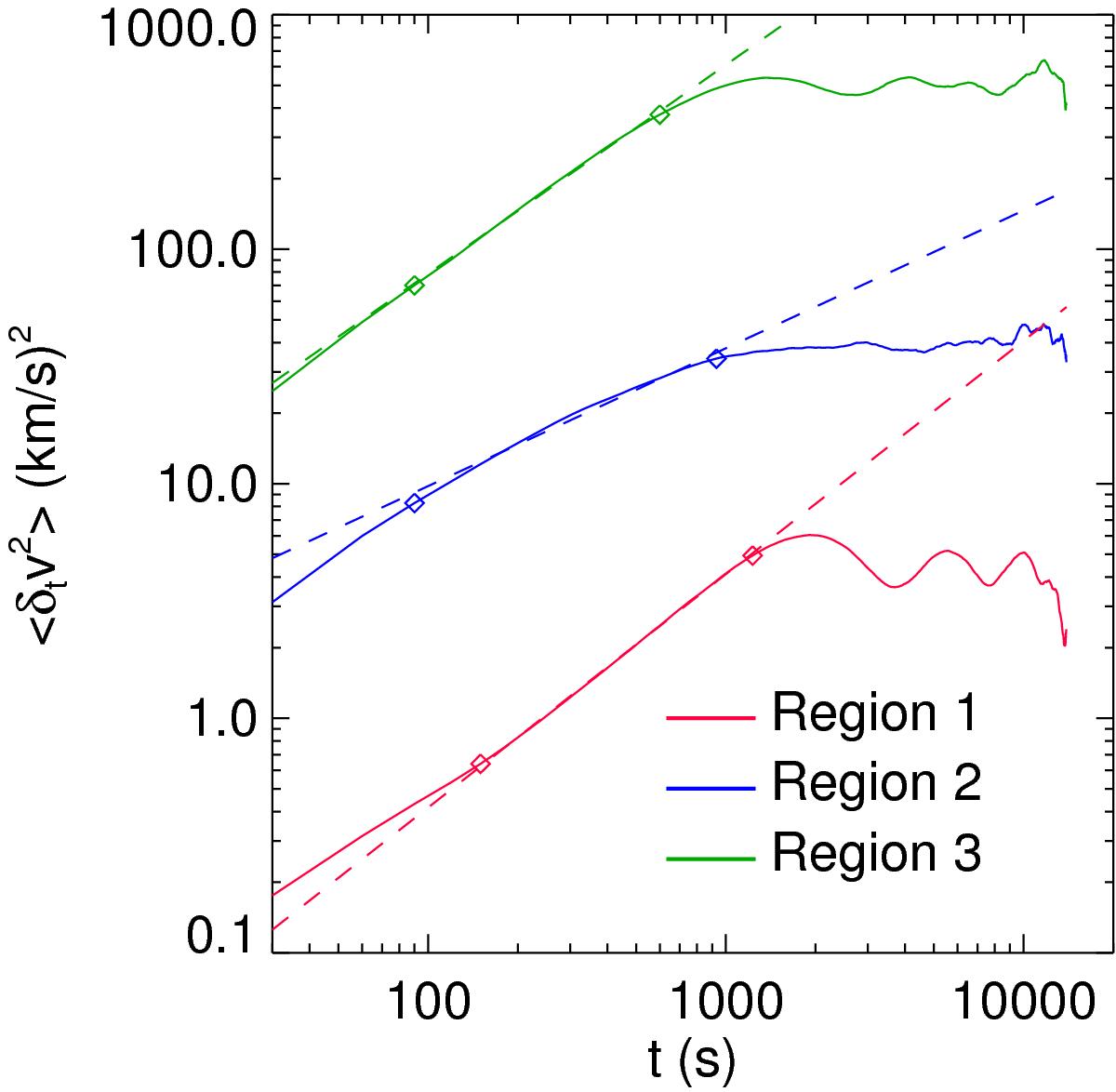
Fig. 9

image

Plot of δtv2 against t for R1, R2 & R3. The exponents of the power laws for the three regions are approximately 1 for R1, 0.6 for R2 and 0.9 for R3. Note that the distributions are scaled to make the distribution clear.

Current usage metrics show cumulative count of Article Views (full-text article views including HTML views, PDF and ePub downloads, according to the available data) and Abstracts Views on Vision4Press platform.

Data correspond to usage on the plateform after 2015. The current usage metrics is available 48-96 hours after online publication and is updated daily on week days.

Initial download of the metrics may take a while.