Free Access

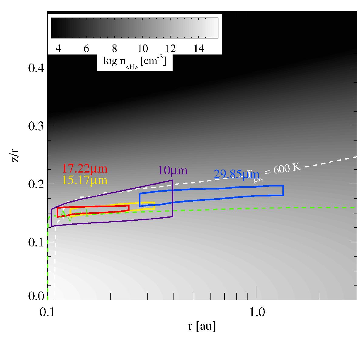
Fig. 2

image

Emitting region of the 10 μm continuum emission and the strongest water lines contributing to the 15.17 μm, 17.22 μm, and 29.85 μm blends for our typical T Tauri disk model. The emitting regions include 15–85% of the radial and vertical integrated flux at the given wavelengths. The green dashed line marks the optical extinction level AV = 1 mag. The white dashed line marks the Tgas = 600 K contour.

Current usage metrics show cumulative count of Article Views (full-text article views including HTML views, PDF and ePub downloads, according to the available data) and Abstracts Views on Vision4Press platform.

Data correspond to usage on the plateform after 2015. The current usage metrics is available 48-96 hours after online publication and is updated daily on week days.

Initial download of the metrics may take a while.