Free Access

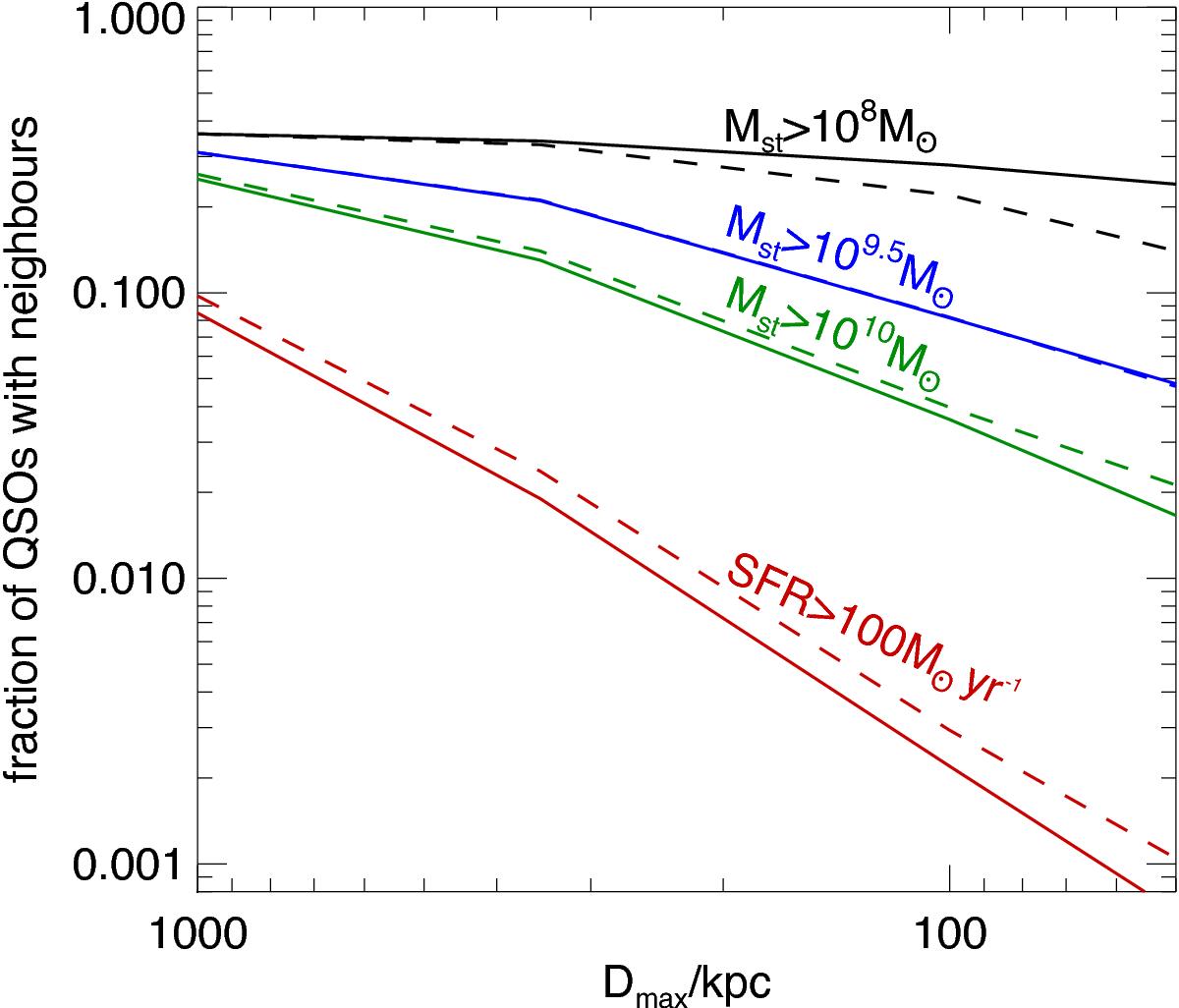
Fig. 5

image

Fraction of quasars with companions as a function of the aperture used for the search. The black, blue and green lines show this fraction in case of companions with different stellar masses (M> 108M, >109.5M, >1010M, respectively), while the red lines represent the fraction of quasars with bright companions (SFR> 100 M yr-1) as a function of aperture, in the case of the Gonzalez-Perez14 (solid lines) and Gonzalez-Perez14.GRP (dashed lines) models.

Current usage metrics show cumulative count of Article Views (full-text article views including HTML views, PDF and ePub downloads, according to the available data) and Abstracts Views on Vision4Press platform.

Data correspond to usage on the plateform after 2015. The current usage metrics is available 48-96 hours after online publication and is updated daily on week days.

Initial download of the metrics may take a while.