Free Access

Fig. 5

image

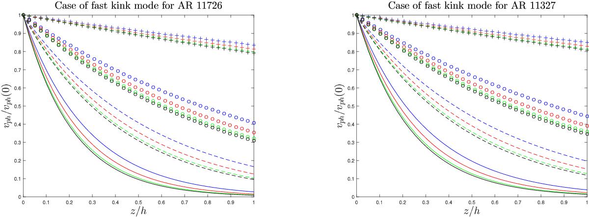
Normalized phase speed Eq. (5) Vph/Vph(0) vs. the dimensionless depth z/h for the fast kink modes for AR 11726 (left panel) and AR 11327 (right panel). In either of these cases, we consider four options for the surface value of the plasma mass density: ρ0 = ρe (blue curves), ρ0 = ρe/ 2 (red curves), ρ0 = ρe/ 4 (green curves) and ρ0 = ρe/ 6 (black curves), respectively. In addition, it should be noted that we here show curves for four different depth of the wave turning point viz. h = 10000km (solid line curves), h = 20000km (dashed line curves), h = 40000km (dotted-dashed line curves) and h = 200000km (dotted line curves).

This figure is made of several images, please see below:

Current usage metrics show cumulative count of Article Views (full-text article views including HTML views, PDF and ePub downloads, according to the available data) and Abstracts Views on Vision4Press platform.

Data correspond to usage on the plateform after 2015. The current usage metrics is available 48-96 hours after online publication and is updated daily on week days.

Initial download of the metrics may take a while.