Free Access

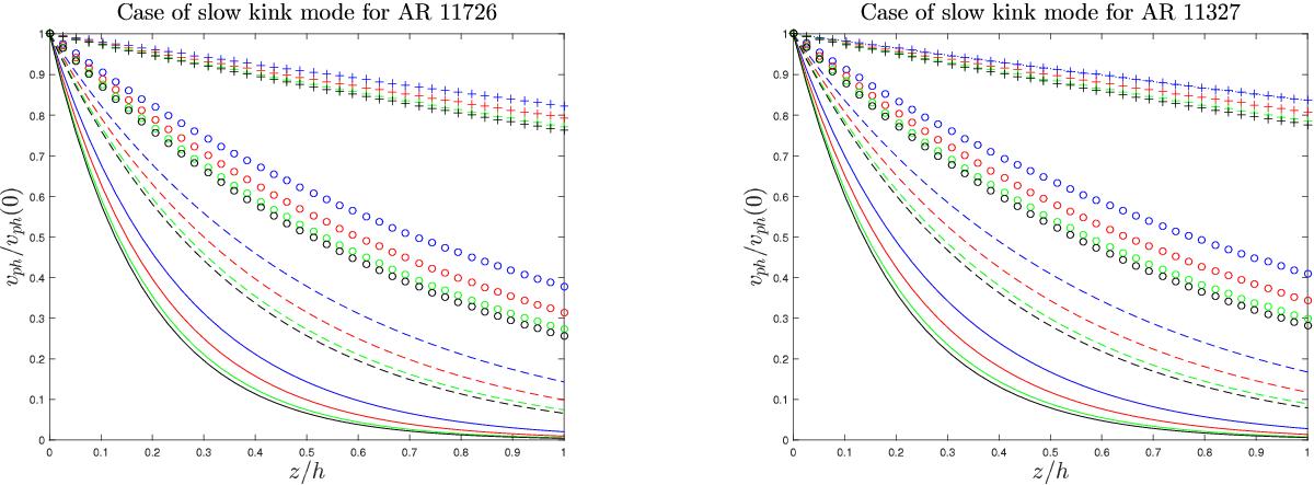
Fig. 6

image

Same quantities as in Fig. 5, but for the case of slow kink modes. For this case, we assume that the temperature inside the tube T0 = 3/5Te. To evaluate the sound speed the solar surface inside the sunspot we use the photospheric value of the temperature outside the spot Te = 5700 K.

This figure is made of several images, please see below:

Current usage metrics show cumulative count of Article Views (full-text article views including HTML views, PDF and ePub downloads, according to the available data) and Abstracts Views on Vision4Press platform.

Data correspond to usage on the plateform after 2015. The current usage metrics is available 48-96 hours after online publication and is updated daily on week days.

Initial download of the metrics may take a while.