Free Access

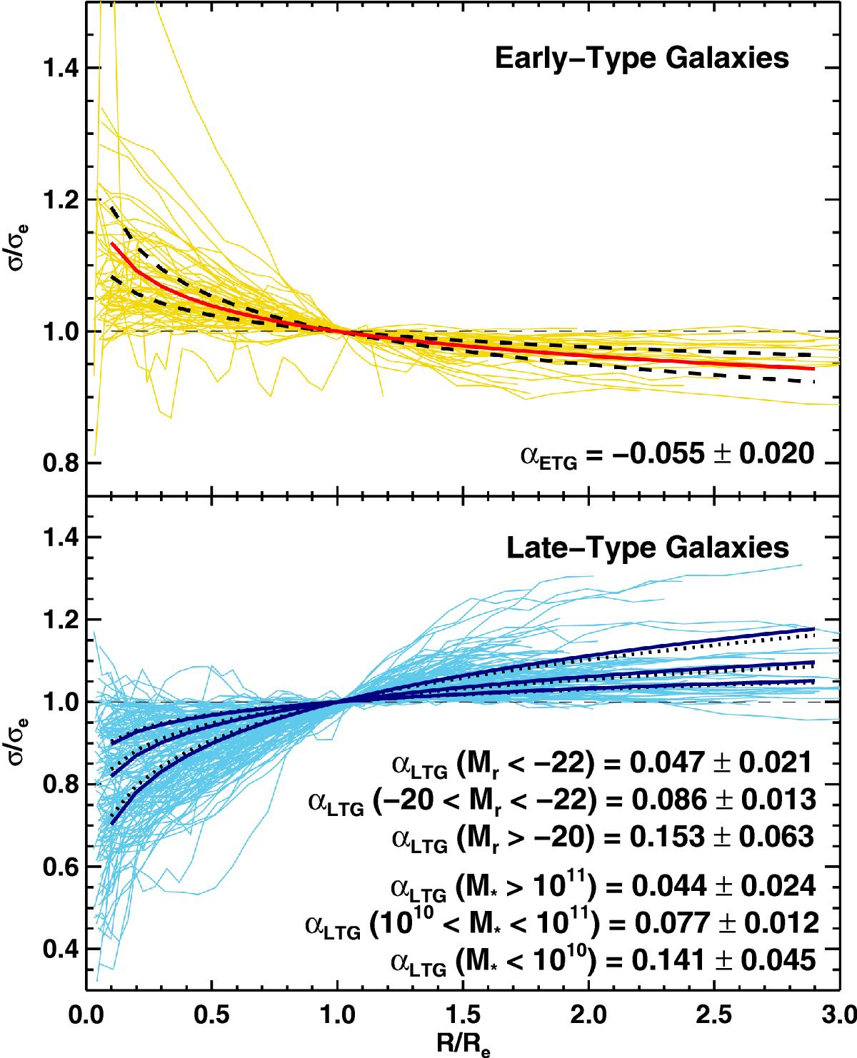
Fig. 10

image

Stellar velocity dispersion profiles integrated within elliptical apertures with increasing semimajor radius. The profiles are normalized by the effective velocity dispersion (σe within the effective radius (Re)). The galaxies were divided depending on the shape of their profile: (top panel) declining galaxies and (bottom panel) steadily increasing galaxies, which naturally correspond to early-type and late-type galaxies, respectively. For early-type galaxies, the red line is the average fit taking volume corrections into account. Dashed lines indicate the uncertainty of the fit. For late-type galaxies, dotted lines indicate average fits for different intervals of stellar mass, while solid lines indicate average fits for different intervals of absolute magnitude. For clarity, we did not include the lines with uncertainties in these cases. Averages for late types also take volume corrections into account.

Current usage metrics show cumulative count of Article Views (full-text article views including HTML views, PDF and ePub downloads, according to the available data) and Abstracts Views on Vision4Press platform.

Data correspond to usage on the plateform after 2015. The current usage metrics is available 48-96 hours after online publication and is updated daily on week days.

Initial download of the metrics may take a while.