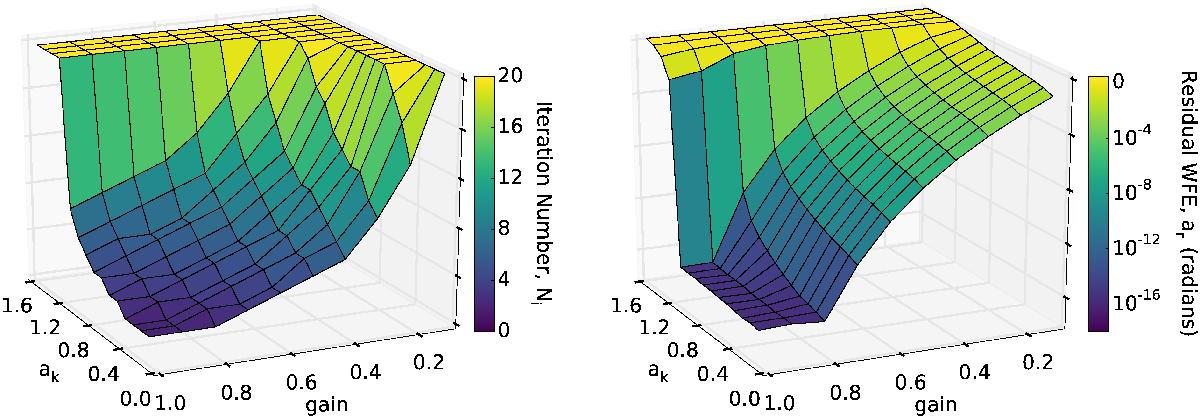
Fig. 6
 
      Convergence properties of the Zernike cMWS shown in Fig. 5 as a function of initial rms wavefront error per mode, ak, and closed-loop gain, g. Left: number of iterations required until convergence Ni(ar< 10-2). A value of Ni = 20 indicates that convergence was not achieved within the allowed 20 iterations. Right: residual wavefront error ar after the final iteration.
Current usage metrics show cumulative count of Article Views (full-text article views including HTML views, PDF and ePub downloads, according to the available data) and Abstracts Views on Vision4Press platform.
Data correspond to usage on the plateform after 2015. The current usage metrics is available 48-96 hours after online publication and is updated daily on week days.
Initial download of the metrics may take a while.
