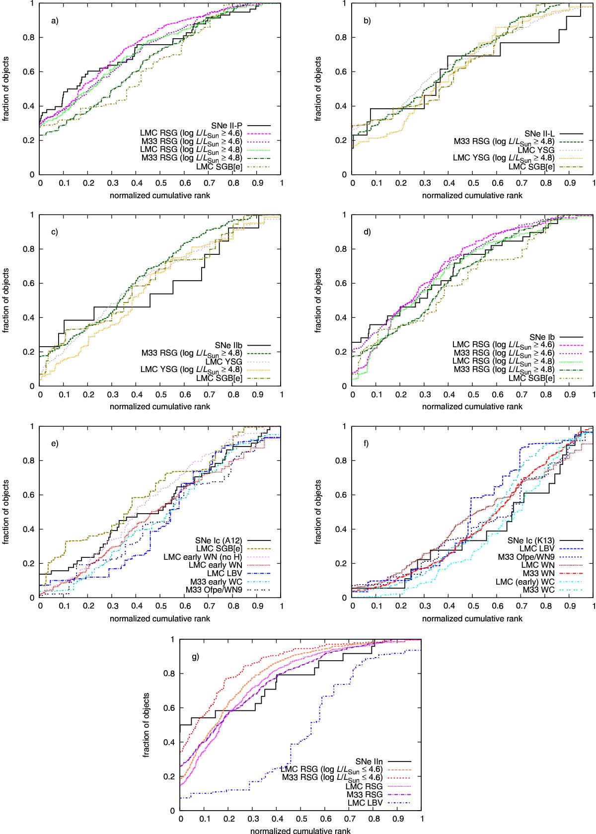
Fig. 6
 
      Comparisons between the cumulative NCR distributions of various SN types and stellar samples in the LMC and/or M 33. Panel a) type II-P SNe; b) type II-L; c) type IIb; d) type Ib; e) type Ic from A12; f) type Ic from K13 and g) type IIn. The stellar samples have been selected based on formal consistency according to the AD test (≥ten per cent probability of the distributions being the same) and similar mean NCRs. In the case of the type IIn SNe, we also include the LBVs to demonstrate the difference of these distributions.
Current usage metrics show cumulative count of Article Views (full-text article views including HTML views, PDF and ePub downloads, according to the available data) and Abstracts Views on Vision4Press platform.
Data correspond to usage on the plateform after 2015. The current usage metrics is available 48-96 hours after online publication and is updated daily on week days.
Initial download of the metrics may take a while.
