Free Access

Fig. 2

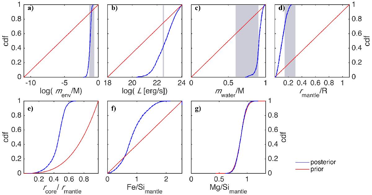
image

Sampled one-dimensional (1D) marginal posterior cdfs (blue) of model I parameters for Neptune: a) mass of envelope menv; b) envelope Luminosity L; c) mass of water mwater; d) mantle radius rmantle; e) core radius rcore; f) Fe/Simantle; g) Mg/Simantle. Prior and posterior nearly completely overlap in g). The envelope metallicity Zenv (not shown) is fixed, Zenv = 0. The prior cdfs are plotted in red. Gray area in plots a)d) represent independent literature estimates (see main text).

Current usage metrics show cumulative count of Article Views (full-text article views including HTML views, PDF and ePub downloads, according to the available data) and Abstracts Views on Vision4Press platform.

Data correspond to usage on the plateform after 2015. The current usage metrics is available 48-96 hours after online publication and is updated daily on week days.

Initial download of the metrics may take a while.